Tree-Based Methods

ACTL3142 & ACTL5110 Statistical Machine Learning for Risk Applications

Overview

  • Decision Trees
  • Growing a Tree
  • National Flood Insurance Program Demo
  • Pruning a Tree
  • Bootstrap Aggregation
  • Random Forests
  • Boosting

Reading

James et al. (2021): Chapter 8 (skipping Bayesian Additive Regression Trees)

Optional: Géron (2022): Chapters 6 & 7

Summary

Decision trees

  • Stratify / segment the predictor space into a number of simple regions.
  • The set of splitting rules can be summarised in a tree.

Bagging, random forests, boosting

  • Examples of what we call “ensemble methods”.
  • Produce multiple trees.
  • Improve the prediction accuracy of tree-based methods.
  • Lose some interpretation.

Decision Trees

Lecture Outline

  • Decision Trees

  • Growing a Tree

  • National Flood Insurance Program Demo

  • Pruning a Tree

  • Bootstrap Aggregation

  • Random Forests

  • Boosting

Trees in a nutshell

  • Decision trees are a simple, easy to interpret, and popular method for both regression and classification tasks. They can be used to make predictions, but also simply as “data exploration” to understand a data set better.

  • They make predictions by partitioning the predictor space into a number of simple regions, and making a constant prediction within each region. The set of splitting rules can be summarised in a tree. “Stand alone” tree models are rarely particularly accurate, but they form the basis for more accurate (and complex) methods like random forests and boosting.

A tree (stock photo)

How much is a train ticket?

graph TB

    A{Is it peak hour?}
    A-->|Yes| B[Peak Hour]
    A-->|No| C[Off-Peak Hour]

    B--> D{Distance?}
    D-->|0 - 10 km| E[$3.79]
    D-->|10 - 20 km| F[$4.71]
    D-->|20 - 35 km| G[$5.42]
    D-->|35 - 65 km| H[$7.24]
    D-->|65+ km| I[$9.31]

    C--> J{Distance?}
    J-->|0 - 10 km| K[$2.65]
    J-->|10 - 20 km| L[$3.29]
    J-->|20 - 35 km| M[$3.79]
    J-->|35 - 65 km| N[$5.06]
    J-->|65+ km| O[$6.51]

In code

rail_cost <- function(peak_hours, distance) {
  if (peak_hours) {
    if (distance <= 10) {
      cost <- 3.79
    } else if (distance <= 20) {
      cost <- 4.71
    } else if (distance <= 35) {
      cost <- 5.42
    } else if (distance <= 65) {
      cost <- 7.24
    } else {
      cost <- 9.31
    }
  } else {
    if (distance <= 10) {
      cost <- 2.65
    } else if (distance <= 20) {
      cost <- 3.29
    } else if (distance <= 35) {
      cost <- 3.79
    } else if (distance <= 65) {
      cost <- 5.06
    } else {
      cost <- 6.51
    }
  }
  return(cost)
}
def rail_cost(peak_hours, distance):
  if peak_hours:
      if distance <= 10:
        cost = 3.79
      elif distance <= 20:
        cost = 4.71
      elif distance <= 35:
        cost = 5.42
      elif distance <= 65:
        cost = 7.24
      else:
        cost = 9.31
  else:
      if distance <= 10:
        cost = 2.65
      elif distance <= 20:
        cost = 3.29
      elif distance <= 35:
        cost = 3.79
      elif distance <= 65:
        cost = 5.06
      else:
        cost = 6.51
  return cost

Hitters dataset

data(Hitters)
Hitters
hitters = pd.read_csv('Hitters.csv')
hitters
            Unnamed: 0  AtBat  Hits  HmRun  ...  Assists  Errors  Salary  NewLeague
0          -Alan Ashby    315    81      7  ...       43      10   475.0          N
1         -Alvin Davis    479   130     18  ...       82      14   480.0          A
2        -Andre Dawson    496   141     20  ...       11       3   500.0          N
3    -Andres Galarraga    321    87     10  ...       40       4    91.5          N
4     -Alfredo Griffin    594   169      4  ...      421      25   750.0          A
..                 ...    ...   ...    ...  ...      ...     ...     ...        ...
258      -Willie McGee    497   127      7  ...        9       3   700.0          N
259   -Willie Randolph    492   136      5  ...      381      20   875.0          A
260    -Wayne Tolleson    475   126      3  ...      113       7   385.0          A
261     -Willie Upshaw    573   144      9  ...      131      12   960.0          A
262     -Willie Wilson    631   170      9  ...        4       3  1000.0          A

[263 rows x 21 columns]

Fit a basic tree

(tree <- rpart(
  log(Salary) ~ Years + Hits,
  data = Hitters))
n= 263 

node), split, n, deviance, yval
      * denotes terminal node

 1) root 263 207.153700 5.927222  
   2) Years< 4.5 90  42.353170 5.106790  
     4) Years< 3.5 62  23.008670 4.891812  
       8) Hits< 114 43  17.145680 4.727386 *
       9) Hits>=114 19   2.069451 5.263932 *
     5) Years>=3.5 28  10.134390 5.582812 *
   3) Years>=4.5 173  72.705310 6.354036  
     6) Hits< 117.5 90  28.093710 5.998380  
      12) Years< 6.5 26   7.237690 5.688925 *
      13) Years>=6.5 64  17.354710 6.124096  
        26) Hits< 50.5 12   2.689439 5.730017 *
        27) Hits>=50.5 52  12.371640 6.215037 *
     7) Hits>=117.5 83  20.883070 6.739687 *
plot(tree)
text(tree)

X = hitters[['Years', 'Hits']]
y = np.log(hitters['Salary'])
tree = DecisionTreeRegressor(min_samples_split=20, min_samples_leaf=10, max_depth=3, ccp_alpha=0.01)
tree.fit(X, y);
print(export_text(tree, feature_names=['Years', 'Hits']))
|--- Years <= 4.50
|   |--- Years <= 3.50
|   |   |--- Hits <= 114.00
|   |   |   |--- value: [4.73]
|   |   |--- Hits >  114.00
|   |   |   |--- value: [5.26]
|   |--- Years >  3.50
|   |   |--- value: [5.58]
|--- Years >  4.50
|   |--- Hits <= 117.50
|   |   |--- Years <= 6.50
|   |   |   |--- value: [5.69]
|   |   |--- Years >  6.50
|   |   |   |--- value: [6.12]
|   |--- Hits >  117.50
|   |   |--- value: [6.74]

Nicer plots for decision trees

rpart.plot(tree)

plot_tree(tree, feature_names = ['Years', 'Hits'], filled = True, rounded = True, impurity = False, proportion = True)
plt.show()

After pruning that tree

pruned_tree <- prune(tree, cp = tree$cptable[3, "CP"])
rpart.plot(pruned_tree)

Tree Terminology

  • Internal nodes
  • Terminal nodes or leaves
  • Branches
  • Root
rpart.plot(pruned_tree)

Regions in the predictor space

Code
ggplot(Hitters, aes(x = Years, y = Hits, colour = log(Salary))) +
  geom_point() +
  geom_vline(xintercept = 4.5, colour = "black", linetype = "dashed") +
  annotate("segment", x = 4.5, xend = 24, y = 117.5, yend = 117.5, colour = "black", linetype = "dashed") +
  annotate("text", x = 2, y = 200, label = "R[1]", parse = TRUE, size = 10) +
  annotate("text", x = 20, y = 50, label = "R[2]", parse = TRUE, size = 10) +
  annotate("text", x = 20, y = 200, label = "R[3]", parse = TRUE, size = 10) + 
  theme(text = element_text(size = 20))

Tree regions & predictions

A decision tree is made by:

  1. Dividing the predictor space (i.e. the set of possible values for X_1, X_2, \dots, X_p) into J distinct and non-overlapping regions, R_1, R_2, \dots, R_J,
  2. Making the same prediction for every observation that falls into the region R_j
    • the mean response for the training data in R_j (regression trees)
    • the mode response for the training data in R_j (classification trees)

Hitters example:

Region Predicted salaries
R_1 = \{X | \mathtt{Years} < 4.5 \} \$1,000 \times \mathrm{e}^{5.107} = \$165,174
R_2 = \{X | \mathtt{Years} \geq 4.5, \mathtt{Hits} < 117.5 \} \$1,000 \times \mathrm{e}^{5.999} = \$402,834
R_3 = \{X | \mathtt{Years} \geq 4.5, \mathtt{Hits} \geq 117.5 \} \$1,000 \times \mathrm{e}^{6.740} = \$845,346

Discussion

How do you interpret the results of this tree? In particular, consider the following questions

  • Which factor is more important in determining Salary?
  • How does Hits affect Salary?
rpart.plot(pruned_tree)

Decision trees: summary

  • Decision trees are simple, popular, and easy to interpret.
  • They are not the most accurate method, but they can be great to understand the data.
  • They do form the basis for more accurate and complex methods like random forests and boosting.

A decision tree in the wild.

Non-binary train cost tree

A decision tree enforces binary splits…

graph TB

    A{Peak hour?}
    A-->|Yes| B[Peak Hour]
    A-->|No| C[Off-Peak Hour]

    B--> D{Distance?}
    D-->|0 - 10 km| E[$3.79]
    D-->|10 - 20 km| F[$4.71]
    D-->|20 - 35 km| G[$5.42]
    D-->|35 - 65 km| H[$7.24]
    D-->|65+ km| I[$9.31]

    C--> J{Distance?}
    J-->|0 - 10 km| K[$2.65]
    J-->|10 - 20 km| L[$3.29]
    J-->|20 - 35 km| M[$3.79]
    J-->|35 - 65 km| N[$5.06]
    J-->|65+ km| O[$6.51]

Binary train cost tree

… but we can still represent non-binary splits in a binary tree.

graph TB
    A{Peak hour?}
    A-->|Yes| B[Peak Hour]
    A-->|No| J[Off-Peak Hour]

    B--> D1[0 - 10 km: $3.79]
    B--> D2[10 km +]
    D2--> F1[10 - 20 km: $4.71]
    D2--> G1[20 km +]
    G1--> H1[20 - 35 km: $5.42]
    G1--> I1[35 km +]
    I1--> I2[35 - 65 km: $7.24]
    I1--> I3[65 km +: $9.31]

    J--> K1[0 - 10 km: $2.65]
    J--> L1[10 km +]
    L1--> L2[10 - 20 km: $3.29]
    L1--> M1[20 km +]
    M1--> M2[20 - 35 km: $3.79]
    M1--> N1[35 km +]
    N1--> N2[35 - 65 km: $5.06]
    N1--> O[65 km +: $6.51]

Growing a Tree

Lecture Outline

  • Decision Trees

  • Growing a Tree

  • National Flood Insurance Program Demo

  • Pruning a Tree

  • Bootstrap Aggregation

  • Random Forests

  • Boosting

Fitting a regression tree

  • Divide the predictor space into high-dimensional rectangles, or boxes.
  • The goal is to find boxes R_1, R_2, \ldots, R_J that minimise \mathrm{RSS} = \sum_{j=1}^{J} \sum_{i \in R_j} (y_i - \hat{y}_{R_j})^2 where \hat{y}_{R_j} is the mean response for the training observations within the jth box.
  • It is computationally unfeasible to consider every possible partition.
  • So, we take stepwise greedy approach: at each step, we pick the split that most reduces the error “right now”.
  • As in linear regression “forward stepwise selection”, nothing guarantees this yields the “optimal” splits, overall.

Illustraion with a synthetic regression dataset

Growing a regression tree I

Growing a regression tree II

Growing a regression tree III

Growing a regression tree IV

Recursive binary splitting: Overview

  • Start with the root node, and make new splits “greedily”, one at a time.
  • When choosing what the new split should be:
    • consider all of the predictor variables
    • for each one, there is an optimal split point s (which, if chosen, maximises the reduction in error)
    • computationally, that s can be determined very quickly
    • pick the overall best split (i.e., pick the predictor j whose optimal split point s results in the overall largest reduction in error)
  • Two new “regions” (aka “leaves”) are hence created.
  • Repeat this splitting process (always turning one leaf into two), until a stopping criterion is reached (e.g., each leaf contains \leq 5 observations).

Finding the first “best split”

  • Consider a splitting variable j and split point s R_1(j, s) = \{X | X_j \leq s\} \quad \text{and} \quad R_2(j, s) = \{X|X_j>s\}

  • Find the splitting variable j and split point s that solve \min_{j,\ s}\Big[ \min_{c_1} \sum_{x_i \in R_1(j,\ s)}(y_i-c_1)^2 + \min_{c_2} \sum_{x_i \in R_2(j,\ s)}(y_i-c_2)^2 \Big] where the inner mins are solved by \hat{c}_1 = \mathrm{Ave}(y_i | x_i \in R_1(j, s)) \quad \text{and} \quad \hat{c}_2 = \mathrm{Ave}(y_i | x_i \in R_2(j, s))

  • After this first split, “we repeat the process, looking for the best predictor and best cutpoint in order to split the data further so as to minimize the RSS within each of the resulting regions. However, this time, instead of splitting the entire predictor space, we split one of the two previously identified regions.” (James et al., 2021)

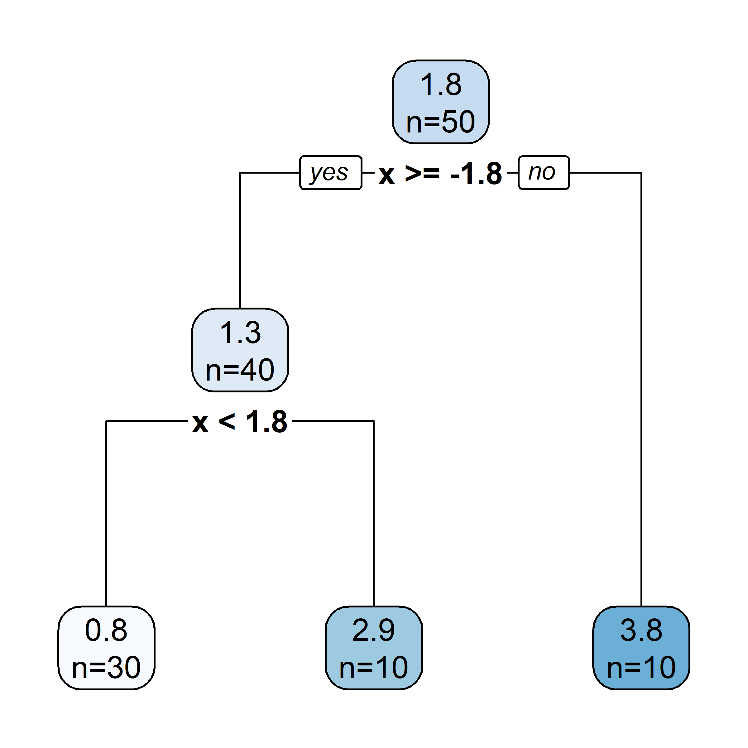
2023 exam question

What would be the tree’s predicted value for y at x = 0?

Classification trees

Very similar to a regression tree, except:

  • Predict that each observation belongs to the most commonly occurring class (mode) of training observations in the region to which it belongs.
  • RSS cannot be used as a criterion for making the binary splits, instead we use a measure of node purity (small values are “good”). For a given region R_m, compute either:

Gini index, or

G = \sum_{k=1}^{K}\hat{p}_{mk}(1 - \hat{p}_{mk})

entropy

D = -\sum_{k=1}^{K}\hat{p}_{mk}\ln(\hat{p}_{mk})

where \hat{p}_{mk} = \frac{1}{| R_m | }\sum_{x_i \in R_m}I(y_i = k) \,.

Growing a classification tree I

Growing a classification tree II

Growing a classification tree III

Growing a classification tree IV

Multiple representations

rpart.plot(tree4, type = 0)

rpart.plot(tree4, type = 2)

rpart.plot(tree4, type = 3)

rpart.plot(tree4, type = 5)

Multiple representations II

rpart.plot(tree4, type = 1, extra = 2)

rpart.plot(tree4, type = 1, extra = 4)

rpart.plot(tree4, type = 1, extra = 3)

rpart.plot(tree4, type = 1, extra = 5)

Which one?

So, should you use Gini impurity or entropy? The truth is, most of the time it does not make a big difference: they lead to similar trees. Gini impurity is slightly faster to compute, so it is a good default. However, when they differ, Gini impurity tends to isolate the most frequent class in its own branch of the tree, while entropy tends to produce slightly more balanced trees.

See also Sebastian Raschka’s interesting analysis for more details.

National Flood Insurance Program Demo

Lecture Outline

  • Decision Trees

  • Growing a Tree

  • National Flood Insurance Program Demo

  • Pruning a Tree

  • Bootstrap Aggregation

  • Random Forests

  • Boosting

National Flood Insurance Program

Available at OpenFEMA dataset.

claims <- read.csv("FimaNfipClaimsClean.csv")

National Flood Insurance Program (NFIP, image source)

The data dictionary

Name Title Type Description
id ID text Unique ID assigned to the record
amountPaidOnBuildingClaim Amount Paid on Building Claim decimal Dollar amount paid on the building claim. In some instances, a negative amount may appear.
agricultureStructureIndicator Agriculture Structure Indicator boolean Indicates whether a building is reported as being an agricultural structure in the policy application.
policyCount Policy Count smallint Insured units in an active status. A policy contract ceases to be in an active status as of the cancellation date or the expiration date.
countyCode County Code text FIPS code uniquely identifying the primary County (e.g., 011 represents Broward County) associated with the project.
lossDate Date of Loss datetime Date on which water first entered the insured building.
elevatedBuildingIndicator Elevated Building Indicator boolean Indicates whether a building meets the NFIP definition of an elevated building.
latitude Latitude decimal Approximate latitude of the insured building.
locationOfContents Location of Contents smallint Code that indicates the location of contents, (e.g., garage on property, in house).

Name Title Type Description
longitude Longitude decimal Approximate longitude of the insured building.
lowestFloorElevation Lowest Floor Elevation decimal A building’s lowest floor is the floor or level that is used as the point of reference when rating a building.
numberOfFloors Number of Floors smallint Code that indicates the number of floors in the insured building.
occupancyType Occupancy Type smallint Code indicating the use and occupancy type of the insured structure.
originalConstructionDate Original Construction Date date The original date of the construction of the building.
originalNBDate Original NB Date date The original date of the flood policy.
postFIRMConstructionIndicator Post-FIRM Construction Indicator boolean Indicates whether construction was started before or after publication of the FIRM.
rateMethod Rate Method text Indicates policy rating method.
state State text The two-character alpha abbreviation of the state in which the insured property is located.
totalBuildingInsuranceCoverage Total Building Insurance Coverage integer Total Insurance Amount in whole dollars on the Building.

First decision tree

tree <- rpart(amountPaidOnBuildingClaim ~ ., data=claims[1:1000,])
rpart.plot(tree)

Remove ID column

claims <- claims %>% select(-id)
tree <- rpart(amountPaidOnBuildingClaim ~ ., data=claims[1:1000,])
rpart.plot(tree)

Dates to years and months

claims$lossYear <- year(claims$lossDate) # And so on...
Code
claims$lossYear <- year(claims$lossDate)
claims$lossMonth <- month(claims$lossDate)
claims$lossDate <- NULL
claims$originalConstructionYear <- year(claims$originalConstructionDate)
claims$originalConstructionMonth <- month(claims$originalConstructionDate)
claims$originalConstructionDate <- NULL
claims$originalNBYear <- year(claims$originalNBDate)
claims$originalNBMonth <- month(claims$originalNBDate)
claims$originalNBDate <- NULL
tree <- rpart(amountPaidOnBuildingClaim ~ ., data=claims[1:1000,])
rpart.plot(tree)

Plot claims by year

Code
claims %>%
  group_by(lossYear) %>%
  summarise(n = n()) %>%
  ggplot(aes(x = lossYear, y = n)) +
  geom_bar(stat = "identity") +
  theme_minimal() +
  labs(x = "Year", y = "Number of claims")

Plot average claim size by year

Code
claims %>%
  group_by(lossYear) %>%
  summarise(mean_claim = mean(amountPaidOnBuildingClaim)) %>%
  ggplot(aes(x = lossYear, y = mean_claim)) +
  geom_line() +
  theme_minimal() +
  labs(x = "Year", y = "Average claim size")

Number of claims by state

Prepare to make state-based maps for USA
claims$state_full <- state.name[match(claims$state, state.abb)]

state_claims <- claims %>%
  group_by(state_full) %>%
  summarise(num_claims = n(),
            max_claim_size = max(amountPaidOnBuildingClaim),
            common = num_claims >= nrow(claims) / 100)

claims$state_full <- NULL

# Merge with the map data
states_map <- map_data("state")
state_claims$region <- tolower(state_claims$state_full)
states_map <- left_join(states_map, state_claims, by = "region")
Code
ggplot(states_map, aes(long, lat, group = group, fill = num_claims)) +
  geom_polygon(color = "white") +
  scale_fill_viridis_c(option = "C") +
  labs(title = "Number of Claims by State",
       fill = "Number of Claims") +
  theme_minimal() +
  theme(axis.title = element_blank(), axis.text = element_blank(), axis.ticks = element_blank())

Max claim size by state

Code
# Plot maximum claim size by state
ggplot(states_map, aes(long, lat, group = group, fill = max_claim_size)) +
  geom_polygon(color = "white") +
  scale_fill_viridis_c(option = "C") +
  labs(title = "Maximum Claim Size by State",
       fill = "Max Claim Size") +
  theme_minimal() +
  theme(axis.title = element_blank(), axis.text = element_blank(), axis.ticks = element_blank())

Some states have very few claims

Code
# Plot states where floods are common
ggplot(states_map, aes(long, lat, group = group, fill = common)) +
  geom_polygon(color = "white") +
  scale_fill_viridis_d() +
  labs(title = "States where flood claims are frequent",
       fill = "Number of Claims >= 1%") +
  theme_minimal() +
  theme(axis.title = element_blank(), axis.text = element_blank(), axis.ticks = element_blank())

Geographical distribution of perils

Friedman Exhibit 1 (p. 10).

Hot spots

Friedman Exhibit 13 (p. 46).

Reduce the number of levels

table(claims$state)

   AK    AL    AR    AZ    CA    CO    CT    DC    DE    FL    GA    GU    HI 
   27  2019   410   139  1408   191   819    10   303 11833  1035     6   152 
   IA    ID    IL    IN    KS    KY    LA    MA    MD    ME    MI    MN    MO 
  504    43  1605   662   241  1012 20785   885   696   115   402   368  1752 
   MS    MT    NC    ND    NE    NH    NJ    NM    NV    NY    OH    OK    OR 
 2753    53  5023   513   189   142  8520    48    81  5899   790   490   237 
   PA    PR    RI    SC    SD    TN    TX    UN    UT    VA    VI    VT    WA 
 2363   569   238  2023   136   809 17759    10    11  2006    83   108   522 
   WI    WV    WY 
  313   874    16 
length(unique(claims$state))
[1] 55
# States with fewer than 1% claims
rare_flood_states <- names(which(table(claims[["state"]]) < nrow(claims) / 100))
claims$state <- ifelse(claims$state %in% rare_flood_states, "Other", claims$state)
table(claims$state)

   AL    CA    FL    GA    IL    KY    LA    MO    MS    NC    NJ    NY Other 
 2019  1408 11833  1035  1605  1012 20785  1752  2753  5023  8520  5899 12205 
   PA    SC    TX    VA 
 2363  2023 17759  2006 
length(unique(claims$state))
[1] 17

New tree

tree <- rpart(amountPaidOnBuildingClaim ~ ., data=claims[1:5000,])
rpart.plot(tree)

More data

tree <- rpart(amountPaidOnBuildingClaim ~ ., data=claims[1:50000,])
rpart.plot(tree)

Pruning a Tree

Lecture Outline

  • Decision Trees

  • Growing a Tree

  • National Flood Insurance Program Demo

  • Pruning a Tree

  • Bootstrap Aggregation

  • Random Forests

  • Boosting

What’s the best size of tree

The smallest tree is just a root node (no splits).

The upper limit is to grow until one observation in each region.

How large should we grow the tree?

  • What’s wrong if the tree is too small?
  • What’s wrong if the tree is too large?

Pruning (stock photo)

A large tree for the flood insurance data

Code
# I have already shuffled this data
train_val_index <- 1:(0.8*nrow(claims))
train_val_set <- claims[train_val_index, ]
test_set <- claims[-train_val_index, ]

train_index <- 1:(0.75*nrow(train_val_set))
train_set <- train_val_set[train_index, ]
val_set <- train_val_set[-train_index, ]

# train_set$rateMethod <- factor(train_set$rateMethod)
train_set$state <- factor(train_set$state)

# val_set$rateMethod <- factor(val_set$rateMethod, levels = levels(train_set$rateMethod))
val_set$state <- factor(val_set$state, levels = levels(train_set$state))

# test_set$rateMethod <- factor(test_set$rateMethod, levels = levels(train_set$rateMethod))
test_set$state <- factor(test_set$state, levels = levels(train_set$state))
large_tree <- rpart(amountPaidOnBuildingClaim ~ ., data=train_set, control=rpart.control(cp=0.00001))
rpart.plot(large_tree)

The full tree for train pricing

Early stopping of training

“In order to reduce the size of the tree and hence to prevent overfitting, these stopping criteria that are inherent to the recursive partitioning procedure are complemented with several rules. Three stopping rules that are commonly used can be formulated as follows:

  • A node t is declared terminal when it contains less than a fixed number of observations.
  • A node t is declared terminal if at least one of its children nodes t_L and t_R that results from the optimal split s_t contains less than a fixed number of observations.
  • A node t is declared terminal when its depth is equal to a fixed maximal depth.”

Pruning motivation

“While the stopping rules presented above may give good results in practice, the strategy of stopping early the growing of the tree is in general unsatisfactory… That is why it is preferable to prune the tree instead of stopping the growing of the tree. Pruning a tree consists in fully developing the tree and then prune it upward until the optimal tree is found.”

  • A decision rule of considering the decrease in RSS at each step/split (versus a threshold) is too short-sighted.
  • Alternate approach of growing a large tree then pruning back to obtain a subtree is a better strategy.
  • Cross validation of each possible subtree is however very cumbersome.
  • An alternative approach is cost complexity pruning (also known as weakest link pruning)

Cost-Complexity Pruning

Define a subtree T \subset T_0 to be any tree than can be obtained by pruning T_0 (a fully-grown tree)

  • The mth terminal node (aka “leaf”, aka “region”) is denoted R_m
  • |T|: number of terminal nodes in T

Define the cost complexity criterion

\text{Total cost} = \text{Measure of Fit} + \text{Measure of Complexity}

C_\alpha(T) = \sum_{m=1}^{|T|} \sum_{i \in R_m} (y_i - \hat{y}_m)^2 + \alpha|T| where \hat{y}_m is the mean y_i in the mth leaf and \alpha controls the tradeoff between tree size and goodness of fit.

Cost-Complexity Pruning

  • For each specific \alpha, we must find the subtree T_\alpha \subset T_0 that minimises C_\alpha(T).
  • It turns out that it is not too computationally expensive to find T_{\alpha} for a sequence of increasing \alpha’s, because “branches get pruned from the tree in a nested and predictable fashion” (James et al., 2021).
  • This is called “cost-complexity pruning” or “weakest link pruning”.
  • But how do we choose \alpha (and hence the final “optimally pruned” tree)?
    • cross-validation!

Pruning a Tree: Algorithm Summary

  1. Use recursive binary splitting to grow a large tree on the training data
    • stop only when each terminal node has fewer than some minimum number of observations
  2. Apply cost complexity pruning to the large tree to obtain a sequence of best subtrees, as a function of \alpha
    • there is a unique subtree T_\alpha that minimises C_\alpha(T)
  3. Use K-fold cross-validation to choose \alpha
  4. Return the subtree from Step 2 that corresponds to the chosen value of \alpha

CV to prune Hitters tree (only 2 predictors)

  • For our Hitters example, a tree with 3 or 4 leaves (equivalently, 2 and 3 splits) is probably best.
set.seed(123)
tree <- rpart(log(Salary) ~ Years + Hits, data = Hitters)
tree$cptable
          CP nsplit rel error    xerror       xstd
1 0.44457445      0 1.0000000 1.0072170 0.06567495
2 0.11454550      1 0.5554255 0.5640321 0.05904335
3 0.04446021      2 0.4408800 0.4620370 0.05746429
4 0.01831268      3 0.3964198 0.4290060 0.05941502
5 0.01690198      4 0.3781072 0.4329760 0.06391180
6 0.01107214      5 0.3612052 0.4329270 0.06603000
7 0.01000000      6 0.3501330 0.4445006 0.06621925

plotcp(tree)

Unpruned Hitters tree: all predictors

The unpruned tree that results from top-down greedy splitting on the training data.

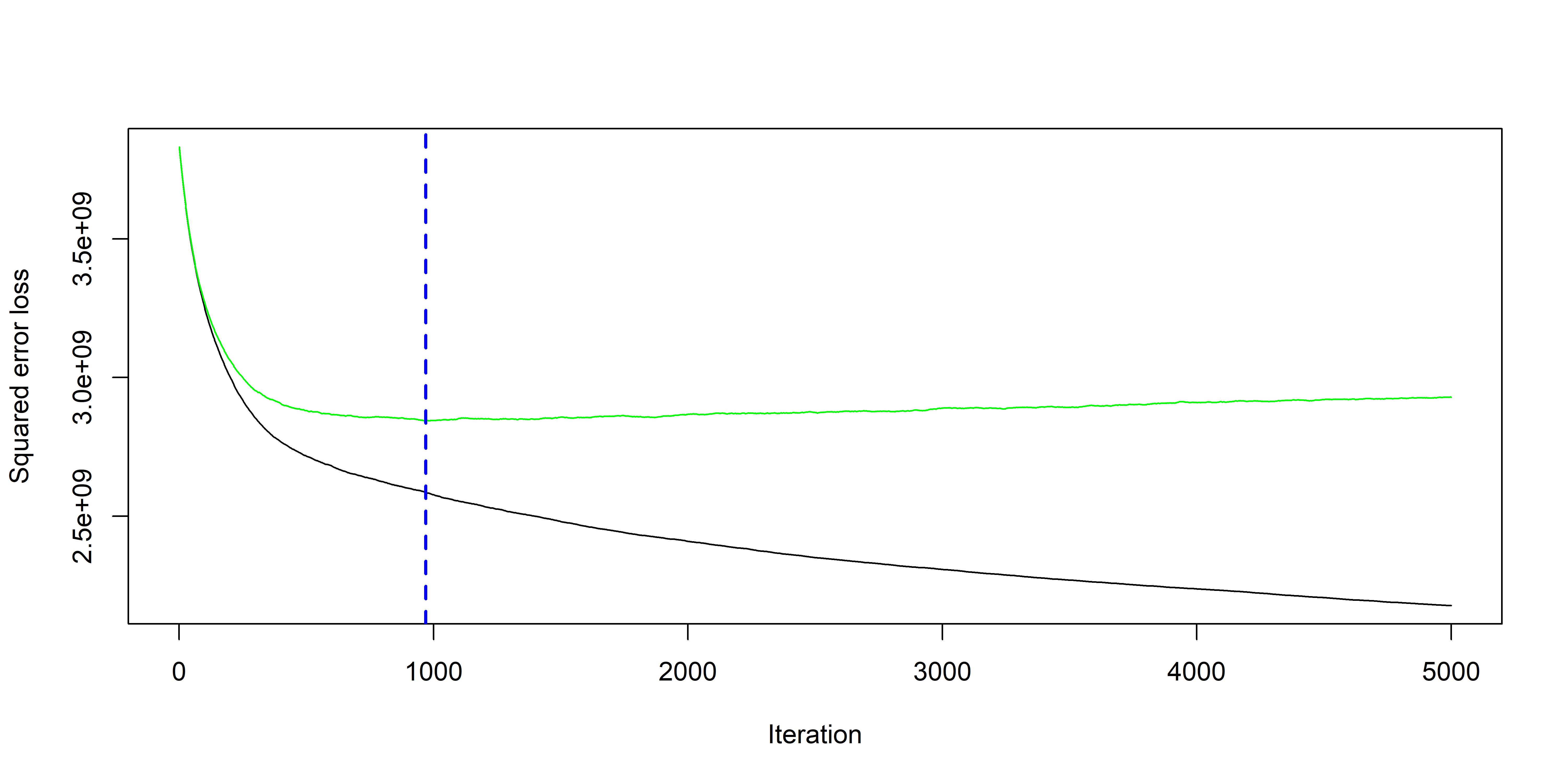
CV to pick \alpha (equiv., |T|)

The training, cross-validation, and test MSE are shown as a function of the number of terminal nodes in the pruned tree. Standard error bands are displayed. The minimum cross-validation error occurs at a tree of size three.

CV to prune NFIP tree

Cross-validation to prune the large NFIP tree
# Perform cross-validation to prune the tree
set.seed(123)
cv_tree <- train(
  amountPaidOnBuildingClaim ~ ., 
  data=train_set, 
  method="rpart",
  trControl=trainControl(method="cv", number=5),
  tuneGrid=data.frame(cp=seq(0, 0.01, 0.001))
)
# Get the optimal cp value
optimal_cp <- cv_tree$bestTune$cp
plot(cv_tree)

The pruned tree

pruned_tree <- prune(large_tree, cp=optimal_cp)
rpart.plot(pruned_tree)

Linear model

linear <- lm(amountPaidOnBuildingClaim ~ ., data=train_set)
summary(linear)

Call:
lm(formula = amountPaidOnBuildingClaim ~ ., data = train_set)

Residuals:
    Min      1Q  Median      3Q     Max 
-785390  -27448  -10894   11246 4787232 

Coefficients:
                                 Estimate Std. Error t value Pr(>|t|)    
(Intercept)                    -2.793e+06  6.662e+04 -41.928  < 2e-16 ***
agricultureStructureIndicator   1.662e+04  1.669e+04   0.996 0.319163    
policyCount                     1.463e+03  1.179e+02  12.407  < 2e-16 ***
countyCode                      6.958e-02  3.986e-02   1.746 0.080900 .  
elevatedBuildingIndicator      -1.387e+04  6.202e+02 -22.358  < 2e-16 ***
latitude                        3.955e+02  1.031e+02   3.835 0.000125 ***
locationOfContents              4.392e+02  1.412e+02   3.111 0.001864 ** 
longitude                      -1.455e+02  3.953e+01  -3.681 0.000232 ***
lowestFloorElevation           -4.797e-02  5.281e-01  -0.091 0.927623    
occupancyType                   3.937e+03  1.681e+02  23.413  < 2e-16 ***
postFIRMConstructionIndicator   3.291e+03  7.311e+02   4.501 6.78e-06 ***
stateCA                        -8.250e+03  2.975e+03  -2.773 0.005548 ** 
stateFL                        -1.210e+04  1.873e+03  -6.459 1.07e-10 ***
stateGA                        -1.194e+04  2.955e+03  -4.040 5.36e-05 ***
stateIL                        -2.142e+04  2.859e+03  -7.494 6.80e-14 ***
stateKY                        -1.385e+04  3.145e+03  -4.405 1.06e-05 ***
stateLA                         1.495e+04  1.944e+03   7.688 1.52e-14 ***
stateMO                        -1.212e+04  2.888e+03  -4.198 2.70e-05 ***
stateMS                         2.054e+04  2.442e+03   8.410  < 2e-16 ***
stateNC                        -1.536e+04  2.588e+03  -5.935 2.95e-09 ***
stateNJ                        -9.051e+03  2.700e+03  -3.353 0.000801 ***
stateNY                        -4.034e+03  2.869e+03  -1.406 0.159733    
stateOther                     -1.757e+04  2.507e+03  -7.006 2.48e-12 ***
statePA                        -1.705e+04  3.180e+03  -5.360 8.37e-08 ***
stateSC                        -1.064e+04  2.999e+03  -3.549 0.000387 ***
stateTX                         4.916e+03  2.589e+03   1.898 0.057665 .  
stateVA                        -2.123e+04  3.337e+03  -6.363 1.99e-10 ***
totalBuildingInsuranceCoverage -1.912e-03  6.089e-04  -3.140 0.001693 ** 
numberOfFloors                 -5.613e+01  3.050e+02  -0.184 0.854001    
lossYear                        1.400e+03  4.691e+01  29.845  < 2e-16 ***
lossMonth                       2.253e+03  1.018e+02  22.130  < 2e-16 ***
originalConstructionYear        5.103e+00  2.298e+01   0.222 0.824242    
originalConstructionMonth      -8.065e+01  7.097e+01  -1.136 0.255851    
originalNBYear                 -1.772e+01  4.758e+01  -0.372 0.709551    
originalNBMonth                 1.601e+01  7.470e+01   0.214 0.830288    
---
Signif. codes:  0 '***' 0.001 '**' 0.01 '*' 0.05 '.' 0.1 ' ' 1

Residual standard error: 57740 on 59965 degrees of freedom
Multiple R-squared:  0.1328,    Adjusted R-squared:  0.1323 
F-statistic:   270 on 34 and 59965 DF,  p-value: < 2.2e-16

Comparing models

Method Test RMSE
Linear Model 5.4792^{4}
Large Tree 4.8683^{4}
Pruned Tree 4.7372^{4}

Bootstrap Aggregation

Lecture Outline

  • Decision Trees

  • Growing a Tree

  • National Flood Insurance Program Demo

  • Pruning a Tree

  • Bootstrap Aggregation

  • Random Forests

  • Boosting

Advantages and disadvantages of trees

Advantages

  • Easy to explain
  • (Mirror human decision making)
  • Graphical display
  • Easily handle qualitative predictors

Disadvantages

  • Low predictive accuracy compared to other regression and classification approaches
  • Can be very non-robust

Is there a way to improve the predictive performance of trees?

  • Pruning a decision tree
  • Ensemble methods
    • Bootstrap aggregation (bagging)
    • Random forest
    • Boosting

An ensemble is a group of models…

Training various different classifiers on the same dataset.

… & you combine their predictions

Make an overall prediction based on the majority vote of the models.

Bootstrapping

Train on different versions of the same data.

Bootstrap resampling I

Original dataset

# Sort by first column to make
# it easier to see the resampling
# (so not necessary in general).
df %>% arrange(x1)

A bootstrap resample

set.seed(1)
df %>% 
  sample_n(size=nrow(df), replace=TRUE) %>%
  arrange(x1)

There are 54% of the rows in the original dataset in the bootstrap resample.

Bootstrap resampling II

Original dataset

# Sort by first column to make
# it easier to see the resampling
# (so not necessary in general).
df %>% arrange(x1)

A bootstrap resample

set.seed(4)
df %>% 
  sample_n(size=nrow(df), replace=TRUE) %>%
  arrange(x1)

There are 68% of the rows in the original dataset in the bootstrap resample.

Bootstrap Aggregation (Bagging)

  • A general-purpose procedure to reduce the variance of predictions; but particularly useful (and frequently used) in the context of decision trees.

Bagging procedure for trees:

  1. Bootstrap: re-sample (with replacement) the original data set repeatedly, hence obtain B different bootstrapped training data sets
  2. Train: train a tree on the bth bootstrapped training set (no need to prune), hence obtain the model \hat{f}^{\ast b}(x)
  3. Aggregate: for regression, take the average prediction, at any point x: \hat{f}_\text{bag}(x) = \dfrac{1}{B}\sum_{b=1}^{B} \hat{f}^{\ast b}(x) (same idea for classification, but take a “majority vote”, i.e., for any given x, choose the most common category predicted for that x by the B models)

Bagging: Illustration

Bagging: Illustration

Samples that are in the bag

Let’s say element i,j of the matrix is 1 if the ith observation is in the jth bootstrap sample (we say it is “in the bag”) and 0 otherwise.

Samples that are out of bag

Now consider the inverse, element i,j of the matrix is 1 if the ith observation is not in the jth bootstrap sample, it is “out of the bag”.

This provides a simple way to estimate the test error of the bagged model: “out-of-bag error” (cheaper than cross-validation).

Out-of-bag error estimation

There is a very straightforward way to estimate the test error of a bagged model

  • On average, each bagged tree makes use of around two-thirds of the observations.
  • The remaining observations (one-third, on average) are referred to as the out-of-bag (OOB) observations.
  • Predict the response for the ith observation using each of the trees for which that observation was OOB
    • \sim B/3 predictions for the ith observation
  • Take the average (regression) or majority (classification) prediction to obtain the final OOB prediction for the ith observation.
  • “with B sufficiently large, OOB error is virtually equivalent to leave-one-out cross-validation error” (James et al., 2021).

Bagging: variable selection

  • Bagging can lead to difficult-to-interpret results, as we don’t get a single tree (but a large number of them, each of which may use different predictors and have different leaves).
  • Still, a predictor’s overall “importance” can be measured
    • Bagging regression trees: “we can record the total amount that the RSS (8.1) is decreased due to splits over a given predictor, averaged over all B trees” (James et al., 2021).
    • Bagging classification trees: “we can add up the total amount that the Gini index (8.6) is decreased by splits over a given predictor, averaged over all B trees” (James et al., 2021).

Random Forests

Lecture Outline

  • Decision Trees

  • Growing a Tree

  • National Flood Insurance Program Demo

  • Pruning a Tree

  • Bootstrap Aggregation

  • Random Forests

  • Boosting

Random Forests

This is a forest (stock photo)

Random Forests in a nutshell

  • An issue with bagging is that it tends to produce very correlated trees.
  • Random forests are an alternative that produces “less correlated” trees.
  • In random forests, we build trees under an important restriction: whenever a new “split” is created, it is only allowed to use one out of m (randomly selected) predictors.
  • For each new split, a new random set of m predictors (out of the total p) is considered.
  • An effect this has is that “strong” predictors are used in (far) fewer models, and hence the other predictors have the opportunity to have their effects captured by more trees (the smaller guys also get their chance to shine!).
  • Random forests tend to reduce the variance of the final predictions (at the cost of introducing some bias).
  • Typically, we choose m \approx \sqrt{p}.
  • Bagging can be said to be a special case of random forests, with m=p.

Fitting with package randomForest

rf_model <- randomForest(amountPaidOnBuildingClaim ~ ., data = train_set,
    ntree=50, importance = TRUE)
Code
# Calculate validation set RMSE
val_pred <- predict(rf_model, newdata=val_set)
val_rmse_rf <- sqrt(mean((val_pred - val_set$amountPaidOnBuildingClaim)^2))
Method RMSE
Linear Model 5.4792^{4}
Large Tree 4.8683^{4}
Pruned Tree 4.7372^{4}
Random Forest 4.2829^{4}

Variable importance

importance(rf_model)
                                  %IncMSE IncNodePurity
agricultureStructureIndicator  -0.4092969  7.736630e+10
policyCount                    -0.6649637  1.312233e+13
countyCode                      7.0676498  1.261540e+13
elevatedBuildingIndicator       1.9163476  4.066224e+12
latitude                       12.7351805  1.257793e+13
locationOfContents              1.2897842  5.107086e+12
longitude                      15.2725053  1.588849e+13
lowestFloorElevation            0.5264056  8.837304e+12
occupancyType                  -0.8955214  5.325440e+12
postFIRMConstructionIndicator  12.1436127  1.855385e+12
state                          10.2933401  1.275269e+13
totalBuildingInsuranceCoverage  8.0324394  4.040641e+13
numberOfFloors                 11.7156439  3.504747e+12
lossYear                        8.2085826  2.277261e+13
lossMonth                      17.4917355  1.009505e+13
originalConstructionYear        9.4747850  1.235049e+13
originalConstructionMonth       2.8065239  6.062158e+12
originalNBYear                  6.7318799  1.468756e+13
originalNBMonth                 1.5024842  1.277571e+13

Variable importance plot

varImpPlot(rf_model)

Boosting

Lecture Outline

  • Decision Trees

  • Growing a Tree

  • National Flood Insurance Program Demo

  • Pruning a Tree

  • Bootstrap Aggregation

  • Random Forests

  • Boosting

Boosting

  • A general approach that can be applied to many statistical learning methods for regression or classification.
  • We focus on boosting for regression trees.
  • It also combines a large number of decision trees, but
    • it does not rely on independent bootstrap samples
    • instead, trees are grown sequentially: each new tree is created using information from previously grown trees
    • each tree is fitted on a modified version of the original data, namely updated residuals from the previous tree model
  • By fitting residuals, at each step this method specifically targets areas where the previous tree did not perform well.
  • Unlike for standard trees, boosting enforces slow learning.

Boosting Algorithm for Regression Trees

  1. Set \hat{f}(x)=0 and r_i = y_i for all i in the training set.
  2. For b = 1, 2, \cdots, B, repeat:
    1. Fit a tree \hat{f}^b with d splits (d+1 terminal nodes) to the training data (X, r).
    2. Update \hat{f} by adding in a shrunken version of the new tree \hat{f}(x) \leftarrow \hat{f}(x) + \lambda \hat{f}^b(x)
    3. Update the residuals, r_i \leftarrow r_i - \lambda \hat{f}^b(x_i)
  3. After the a)-b)-c) steps in 2 have been performed B times, the final boosted model is simply the last iteration of \hat{f}(x).

Note: the final model can be expressed as: \hat{f}(x) = \sum_{b=1}^{B}\lambda \hat{f}^b(x).

Boosting Tuning Parameters

  • The number of trees B
    • danger to overfit if B is too large
    • use cross-validation to select B
  • The shrinkage parameter \lambda
    • a small positive number
    • controls the rate at which boosting learns
    • typical values are 0.01 or 0.001
  • The number d of splits in each tree
    • d=1 often works well, each tree is a “stump”

Fitting with package gbm

# Fit a gradient boosting model
gbm_model <- gbm(amountPaidOnBuildingClaim ~ ., data = train_set,
                 distribution = "gaussian", n.trees = 5000,
                 interaction.depth = 2, shrinkage = 0.01, cv.folds = 5)
best_iter <- gbm.perf(gbm_model, method = "cv")
predictions <- predict(gbm_model, newdata = val_set, n.trees = best_iter)

Comparing models

Method RMSE
Linear Model 5.4792^{4}
Gradient Boosting 4.982^{4}
Large Tree 4.8683^{4}
Pruned Tree 4.7372^{4}
Random Forest 4.2829^{4}

Finally, evaluating the winning model on the test set:

if (val_rmse_gbm < val_rmse_rf) {
  predictions <- predict(gbm_model, newdata = test_set, n.trees = best_iter)
  test_rmse <- sqrt(mean((predictions - test_set$amountPaidOnBuildingClaim)^2))
} else {
  predictions <- predict(rf_model, newdata = test_set)
  test_rmse <- sqrt(mean((predictions - test_set$amountPaidOnBuildingClaim)^2))
}
round(test_rmse)
[1] 44468

Test set root mean-squared error for the winning model is 4.4468495^{4}.

Boosting (iteration 1)

Code
x_obs = np.linspace(-3, 3, 50)
y_obs = [5, 4, 5, 4, 5, 4, 1, 2, 4, 4, 2, 1, 2, 1, 1, 1, 2, 0, 0, 0, 2, 0, 1, 1, 1, 0, 1, 1, -1, 1, 0, 1, 0, -1, 2, 0, 1, 2, 1, 1, 3, 2, 4, 1, 2, 2, 4, 3, 5, 3]
df = pd.DataFrame({'x': x_obs, 'y': y_obs})

# Parameters
d = 1  # number of splits
lambda_ = 0.5  # learning rate

# Higher resolution grid
x_obs = x_obs.reshape(-1, 1)
x_grid = np.linspace(-3, 3, 1000)

# Initial model
f_hat = np.zeros_like(df['y'], dtype=float)
residuals = df['y'].astype(float).copy()

# Store predictions for the grid
f_hat_grid = np.zeros_like(x_grid, dtype=float)

def plot_boosting_iteration(df, x_grid, f_hat, residuals, f_hat_grid, d, lambda_):
  fig, axes = plt.subplots(1, 3, figsize=(10, 4))

  # Plot residuals
  axes[0].scatter(df['x'], residuals, color='blue', label='Residuals')
  axes[0].plot(x_grid, f_b_grid, color='green', label='New Tree')
  axes[0].set_ylim(-1.25, 5.25)
  axes[0].set_title(f"Residuals")

  # Plot updated model prediction
  axes[1].plot(x_grid, f_hat_grid, color='purple')
  axes[1].scatter(df['x'], df['y'], color='red', alpha=0.5)
  axes[1].set_ylim(-1.25, 5.25)
  axes[1].set_title(f"Updated Prediction")

  # Plot new residuals
  axes[2].scatter(df['x'], df['y'] - f_hat, color='blue', label='Residuals')
  axes[2].set_ylim(-1.25, 5.25)
  axes[2].set_title(f"New Residuals")

  plt.tight_layout()
Code
# Fit a tree to residuals
tree = DecisionTreeRegressor(max_depth=d)
tree.fit(x_obs, residuals);
f_b = tree.predict(x_obs)
f_b_grid = tree.predict(x_grid.reshape(-1, 1))

# Update model
f_hat += lambda_ * f_b
f_hat_grid += lambda_ * f_b_grid
plot_boosting_iteration(df, x_grid, f_hat, residuals, f_hat_grid, d, lambda_)

# Update residuals
residuals -= lambda_ * f_b

Here, \lambda=\frac12 is the learning rate.

Boosting (iteration 2)

Code
# Fit a tree to residuals
tree = DecisionTreeRegressor(max_depth=d)
tree.fit(x_obs, residuals);
f_b = tree.predict(x_obs)
f_b_grid = tree.predict(x_grid.reshape(-1, 1))

# Update model
f_hat += lambda_ * f_b
f_hat_grid += lambda_ * f_b_grid
plot_boosting_iteration(df, x_grid, f_hat, residuals, f_hat_grid, d, lambda_)

# Update residuals
residuals -= lambda_ * f_b

Here, \lambda=\frac12 is the learning rate.

Boosting (iteration 3)

Code
# Fit a tree to residuals
tree = DecisionTreeRegressor(max_depth=d)
tree.fit(x_obs, residuals);
f_b = tree.predict(x_obs)
f_b_grid = tree.predict(x_grid.reshape(-1, 1))

# Update model
f_hat += lambda_ * f_b
f_hat_grid += lambda_ * f_b_grid
plot_boosting_iteration(df, x_grid, f_hat, residuals, f_hat_grid, d, lambda_)

# Update residuals
residuals -= lambda_ * f_b

Here, \lambda=\frac12 is the learning rate.

Boosting (iteration 4)

Code
# Fit a tree to residuals
tree = DecisionTreeRegressor(max_depth=d)
tree.fit(x_obs, residuals);
f_b = tree.predict(x_obs)
f_b_grid = tree.predict(x_grid.reshape(-1, 1))

# Update model
f_hat += lambda_ * f_b
f_hat_grid += lambda_ * f_b_grid
plot_boosting_iteration(df, x_grid, f_hat, residuals, f_hat_grid, d, lambda_)

# Update residuals
residuals -= lambda_ * f_b

Here, \lambda=\frac12 is the learning rate.

Boosting (iteration 5)

Code
# Fit a tree to residuals
tree = DecisionTreeRegressor(max_depth=d)
tree.fit(x_obs, residuals);
f_b = tree.predict(x_obs)
f_b_grid = tree.predict(x_grid.reshape(-1, 1))

# Update model
f_hat += lambda_ * f_b
f_hat_grid += lambda_ * f_b_grid
plot_boosting_iteration(df, x_grid, f_hat, residuals, f_hat_grid, d, lambda_)

# Update residuals
residuals -= lambda_ * f_b

Here, \lambda=\frac12 is the learning rate.

Sensitivity to training data orientation

An example of a dataset which is rotated and fit to decision trees.

References

Géron, A. (2022). Hands-on machine learning with Scikit-Learn, Keras, and TensorFlow (3rd ed.). O’Reilly Media.
James, G., Witten, D., Hastie, T., & Tibshirani, R. (2021). An Introduction to Statistical Learning: with Applications in R. Springer.