Unsupervised Learning

ACTL3142 & ACTL5110 Statistical Machine Learning for Risk Applications

Some of the figures in this presentation are taken from "An Introduction to Statistical Learning, with applications in R" (Springer, 2013) with permission from the authors: G. James, D. Witten, T. Hastie and R. Tibshirani

Overview

  • Challenge of Unsupervised Learning
  • K-means clustering
  • Hierarchical clustering
  • Dimension Reduction (PCA)

Reading

James et al. (2021): Chapter 12 (skipping missing values & matrix completion)

Optional: Géron (2022): Chapters 8 & 9

Unsupervised Learning

Lecture Outline

  • Unsupervised Learning

  • K-Means Clustering

  • Demo: MNIST

  • Hierarchical Clustering

  • Dimension Reduction

  • Demo: PCA on MNIST

Supervised vs Unsupervised Learning

Supervised

  • Data: X_1, X_2, \dots, X_p, Y
  • Goal: Predict Y using X_1, X_2, \dots, X_p

Unsupervised

  • Data: X_1, X_2, \dots, X_p
  • Goal: Discover “interesting things” using X_1, X_2, \dots, X_p

Challenge of Unsupervised Learning

  • Typical questions
    • Can we discover meaningful subgroups among the variables?
    • For a “high dimentional” data set, is there an informative way to visualise the data? More broadly, can we reduce the dimensionality of the data while retaining important information?
    • Are there anomalous data points?
  • More subjective than supervised learning
    • There’s no simple goal for the analysis
  • Hard to assess the results obtained from unsupervised learning methods
    • There’s no way to validate your results on an independent data set

Clustering vs. PCA

  • Both seek to simplify the data
  • Different mechanisms
    • Clustering: find (relatively) homogeneous subgroups among the observations
    • PCA: find a low-dimensional representation of the observations that explain a good fraction of their total variance
  • Both can produce useful visualisations

Clustering Methods

  • Broad set of techniques for finding subgroups (aka clusters) in a data set.
  • Goal it to create clusters such that observations within each cluster are quite similar to each other.
  • Need to specify what it means for two or more observations to be “similar” or “different” (several options are possible, a specific choice is often domain-specific).
  • We cover two clustering methods:
    • K-means clustering
      • partition the observations into a pre-specified number of clusters
    • Hierarchical clustering
      • we don’t have to know in advance how many clusters we want
      • creates a dendrogram, a single “tree representation” of possible clusters (for K=1,2,3,\dots,n)

Applications of Clustering

  • Market segmentation
  • Fraud detection
  • Grouping patients by medical condition (e.g., types of diabetes)
  • Clustering of documents by type
  • Compression of information (e.g., representative policies in a portfolio)

K-Means Clustering

Lecture Outline

  • Unsupervised Learning

  • K-Means Clustering

  • Demo: MNIST

  • Hierarchical Clustering

  • Dimension Reduction

  • Demo: PCA on MNIST

K-means clustering: Demonstration I

K-means clustering: Demonstration II

K-means clustering: Demonstration III

K-Means Clustering

  • Denote C_1, \dots, C_K as the sets containing the indices of the observations in each cluster.
  • Each observation belongs to one of the K clusters, and the clusters are non-overlapping (no observation belongs to more than one cluster).
  • Mathematically, C_1 \cup C_2 \cup \dots \cup C_K = \{1, \dots, n\} . C_k \cap C_{k^\prime} = \emptyset \ \text{ for all } \ k \neq k^\prime .

Mathematical formulation: Clustering

  • Call W(C_k) a measure of within-cluster variation, for cluster C_k.
  • A good clustering is one for which the total within-cluster variation is as small as possible

\min_{C_1, \dots, C_K} \sum_{k=1}^{K}W(C_k) .

  • The most common choice of W(\cdot) is W(C_k) = \dfrac{1}{|C_k|}\sum_{i, i^\prime \in C_k}\sum_{j=1}^{p}(x_{ij} - x_{i^\prime j})^2 where |C_k| is the number of observations in the kth cluster.

  • It turns out that

W(C_k) = 2 \sum_{i \in C_k} \sum_{j=1}^{p}(x_{ij} - \bar{x}_{kj})^2 where \bar{x}_{kj} is the mean of feature j for observations in cluster k.

  • So, the optimisation problem that defines K-means clustering becomes \min_{C_1, \dots, C_k} \left\{ \sum_{k=1}^{K} \sum_{i \in C_k} \sum_{j=1}^{p}(x_{ij} - \bar{x}_{kj})^2\right\}.
  • Terminology: for any cluster k, the vector (\bar{x}_{k1}, \bar{x}_{k2}, \ldots \bar{x}_{kp}) is called the cluster’s centroid.

K-Means algorithm

It’s a difficult problem to solve exactly, but the following simple algorithm usually yields a “pretty good solution” (James et al., 2021):

  1. Randomly initialise K clusters (i.e., randomly pick each cluster’s initial centroid)1.
  2. Assign each observation to the cluster whose centroid is closest (where “closest” is defined using Euclidean distance).
  3. For each of the K clusters, re-compute the cluster’s centroid.
  4. Repeat 2 & 3 until convergence (i.e., until observations stop changing clusters).
  5. Repeat 1 to 4 several times, and pick the overall best clustering (i.e., the one with smallest total within-cluster variation).

K-means clustering: Local Optima

Clusters after a seed of 1

Clusters after a seed of 2

Clusters after a seed of 9
  • The last Step (5) is needed because, otherwise, the algorithm may only find a “local” (rather than global) optimum.
  • This is because the clustering obtained at Step 4 depends on the initial centroids used (Step 1).
  • So, it’s crucial to run the algorithm multiple times and select the best solution overall (smallest within-cluster variation).

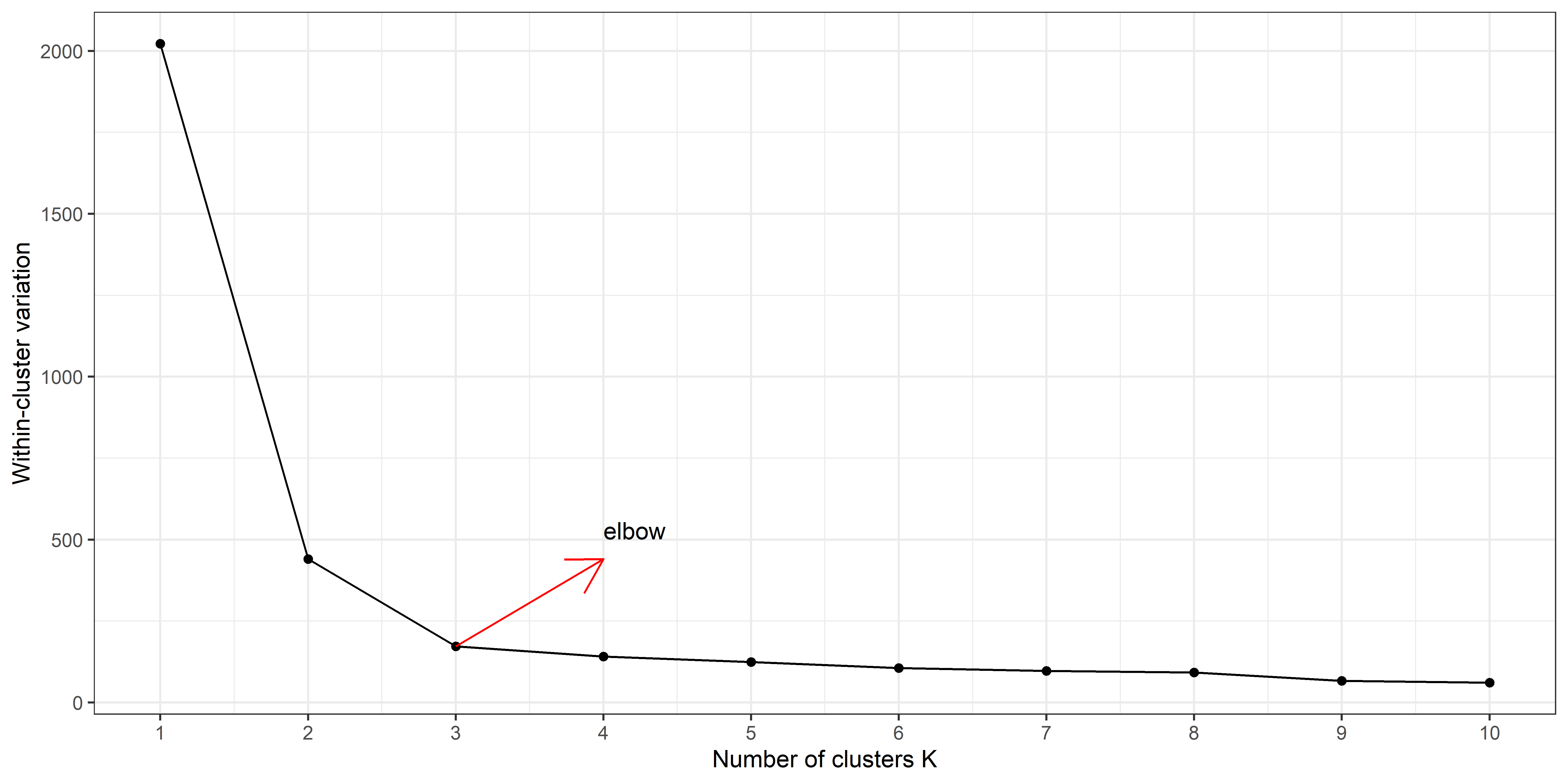
What is the right value of K?

Demo: MNIST

Lecture Outline

  • Unsupervised Learning

  • K-Means Clustering

  • Demo: MNIST

  • Hierarchical Clustering

  • Dimension Reduction

  • Demo: PCA on MNIST

The data

train_df <- read.csv("mnist_train.csv")
train_df
# A tibble: 60,000 × 785
      X0    X1    X2    X3    X4    X5    X6    X7    X8    X9   X10   X11   X12
   <dbl> <dbl> <dbl> <dbl> <dbl> <dbl> <dbl> <dbl> <dbl> <dbl> <dbl> <dbl> <dbl>
 1     0     0     0     0     0     0     0     0     0     0     0     0     0
 2     0     0     0     0     0     0     0     0     0     0     0     0     0
 3     0     0     0     0     0     0     0     0     0     0     0     0     0
 4     0     0     0     0     0     0     0     0     0     0     0     0     0
 5     0     0     0     0     0     0     0     0     0     0     0     0     0
 6     0     0     0     0     0     0     0     0     0     0     0     0     0
 7     0     0     0     0     0     0     0     0     0     0     0     0     0
 8     0     0     0     0     0     0     0     0     0     0     0     0     0
 9     0     0     0     0     0     0     0     0     0     0     0     0     0
10     0     0     0     0     0     0     0     0     0     0     0     0     0
# ℹ 59,990 more rows
# ℹ 772 more variables: X13 <dbl>, X14 <dbl>, X15 <dbl>, X16 <dbl>, X17 <dbl>,
#   X18 <dbl>, X19 <dbl>, X20 <dbl>, X21 <dbl>, X22 <dbl>, X23 <dbl>,
#   X24 <dbl>, X25 <dbl>, X26 <dbl>, X27 <dbl>, X28 <dbl>, X29 <dbl>,
#   X30 <dbl>, X31 <dbl>, X32 <dbl>, X33 <dbl>, X34 <dbl>, X35 <dbl>,
#   X36 <dbl>, X37 <dbl>, X38 <dbl>, X39 <dbl>, X40 <dbl>, X41 <dbl>,
#   X42 <dbl>, X43 <dbl>, X44 <dbl>, X45 <dbl>, X46 <dbl>, X47 <dbl>, …
train_df = pd.read_csv("mnist_train.csv")
train_df
         0    1    2    3    4    5    6  ...  778  779  780  781  782  783  label
0      0.0  0.0  0.0  0.0  0.0  0.0  0.0  ...  0.0  0.0  0.0  0.0  0.0  0.0      5
1      0.0  0.0  0.0  0.0  0.0  0.0  0.0  ...  0.0  0.0  0.0  0.0  0.0  0.0      0
2      0.0  0.0  0.0  0.0  0.0  0.0  0.0  ...  0.0  0.0  0.0  0.0  0.0  0.0      4
3      0.0  0.0  0.0  0.0  0.0  0.0  0.0  ...  0.0  0.0  0.0  0.0  0.0  0.0      1
4      0.0  0.0  0.0  0.0  0.0  0.0  0.0  ...  0.0  0.0  0.0  0.0  0.0  0.0      9
...    ...  ...  ...  ...  ...  ...  ...  ...  ...  ...  ...  ...  ...  ...    ...
59995  0.0  0.0  0.0  0.0  0.0  0.0  0.0  ...  0.0  0.0  0.0  0.0  0.0  0.0      8
59996  0.0  0.0  0.0  0.0  0.0  0.0  0.0  ...  0.0  0.0  0.0  0.0  0.0  0.0      3
59997  0.0  0.0  0.0  0.0  0.0  0.0  0.0  ...  0.0  0.0  0.0  0.0  0.0  0.0      5
59998  0.0  0.0  0.0  0.0  0.0  0.0  0.0  ...  0.0  0.0  0.0  0.0  0.0  0.0      6
59999  0.0  0.0  0.0  0.0  0.0  0.0  0.0  ...  0.0  0.0  0.0  0.0  0.0  0.0      8

[60000 rows x 785 columns]

Only 19% of the data is non-zero.

Which is the odd one out?

Code
# Find the first two '1's in the data, and the first '2'
inds <- c(which(train_df$label == 1)[1:2], which(train_df$label == 2)[1])
obs <- train_df[inds, 480:500]
print(obs)
  X479 X480 X481       X482      X483      X484      X485      X486      X487
4    0    0    0 0.00000000 0.0000000 0.0000000 0.0000000 0.1882353 0.8666667
7    0    0    0 0.00000000 0.0000000 0.0000000 0.0000000 0.0000000 0.0000000
6    0    0    0 0.01960784 0.5294118 0.9882353 0.9882353 0.7058824 0.0627451
       X488       X489      X490      X491      X492      X493      X494
4 0.9843137 0.98431370 0.6745098 0.0000000 0.0000000 0.0000000 0.0000000
7 0.0000000 0.99215686 0.9882353 0.9882353 0.9882353 0.1647059 0.0000000
6 0.0000000 0.08235294 0.7960784 0.9921569 0.9686274 0.5058824 0.6784314
       X495      X496      X497      X498      X499
4 0.0000000 0.0000000 0.0000000 0.0000000 0.0000000
7 0.0000000 0.0000000 0.0000000 0.0000000 0.0000000
6 0.9882353 0.9882353 0.7215686 0.2588235 0.1921569

MNIST Dataset

The MNIST dataset.

The data is flattened

An image turned into a vector.

Preparation

Take just a fraction of the data, and make a plotting function.

# Separate the features and the labels
x <- as.matrix(train_df[, -785])
y <- train_df$label

# Split the data into train/validation and test sets
set.seed(88)

test_indices <- sample(1:nrow(x),
    size = 0.2*nrow(x))
x_test <- x[test_indices,]
y_test <- y[test_indices]
x_train_val <- x[-test_indices,]
y_train_val <- y[-test_indices]

train_indices <- sample(1:nrow(x_train_val),
    size = 0.75*nrow(x_train_val))
x_train <- x_train_val[train_indices,]
y_train <- y_train_val[train_indices]
x_val <- x_train_val[-train_indices,]
y_val <- y_train_val[-train_indices]
Code
# Plot a single digit
plot_digit <- function(digit) {
  digit_matrix <- matrix(digit,
      nrow = 28, byrow = TRUE)
  digit_matrix <- t(digit_matrix)
  digit_matrix <- 1 - digit_matrix[,28:1]
  image(1:28, 1:28, digit_matrix,
      col = gray((0:255)/255),
      xaxt = 'n', yaxt = 'n')
}
# Convert to NumPy arrays
train_df = pd.read_csv("mnist_train.csv")
x = train_df.iloc[:, :-1].to_numpy()
y = train_df.iloc[:, -1].to_numpy().flatten()

# Split the data into train/validation and test sets
x_train_val, x_test, y_train_val, y_test = train_test_split(x, y, test_size=0.2, random_state=0)
x_train, x_val, y_train, y_val = train_test_split(x_train_val, y_train_val, test_size=0.25, random_state=0)

x_train = x_train[:1000]
y_train = y_train[:1000]

# Plot a single digit
def plot_digit(digit, ax):
    digit_matrix = 1 - digit.reshape((28, 28))
    ax.imshow(digit_matrix, cmap='gray',  
            vmin=0, vmax = 1,
            interpolation='none')
    ax.set_xticks([])  
    ax.set_yticks([])  
plot_digit(x_train[1,])

fig, ax = plt.subplots(figsize=(4,4))
plot_digit(x_train[0, :], ax)

Plotting the data

Code
par(mfrow = c(2,5))
for (i in 1:10) {
  plot_digit(x_train[i,])
  title(y_train[i])
}

Code
fig, axes = plt.subplots(2, 5, figsize=(10, 5))
fig.subplots_adjust(wspace=0.5, hspace=0.5)

for i, ax in enumerate(axes.ravel()):
        plot_digit(x_train[i, :], ax)
        ax.set_title(y_train[i])

There are 10 natural clusters

# Plot one of each digit
par(mfrow = c(2,5))
for (i in 0:9) {
  plot_digit(x_train[y_train == i,][1,])
  title(i)
}

K-means Clustering on MNIST I

set.seed(1)
kmeans_out <- kmeans(x_train, centers = 10)
Code
# Plot the cluster centers
par(mfrow = c(2,5))
for (i in 1:10) {
  plot_digit(kmeans_out$centers[i,])
}

The within-cluster variation is

kmeans_out$tot.withinss
[1] 1413762

K-means Clustering on MNIST II

set.seed(2)
kmeans_out <- kmeans(x_train, centers = 10)
Code
# Plot the cluster centers
par(mfrow = c(2,5))
for (i in 1:10) {
  plot_digit(kmeans_out$centers[i,])
}

The within-cluster variation is

kmeans_out$tot.withinss
[1] 1410923

K-means Clustering on MNIST III

set.seed(3)
kmeans_out <- kmeans(x_train, centers = 10)
Code
# Plot the cluster centers
par(mfrow = c(2,5))
for (i in 1:10) {
  plot_digit(kmeans_out$centers[i,])
}

The within-cluster variation is

kmeans_out$tot.withinss
[1] 1410441

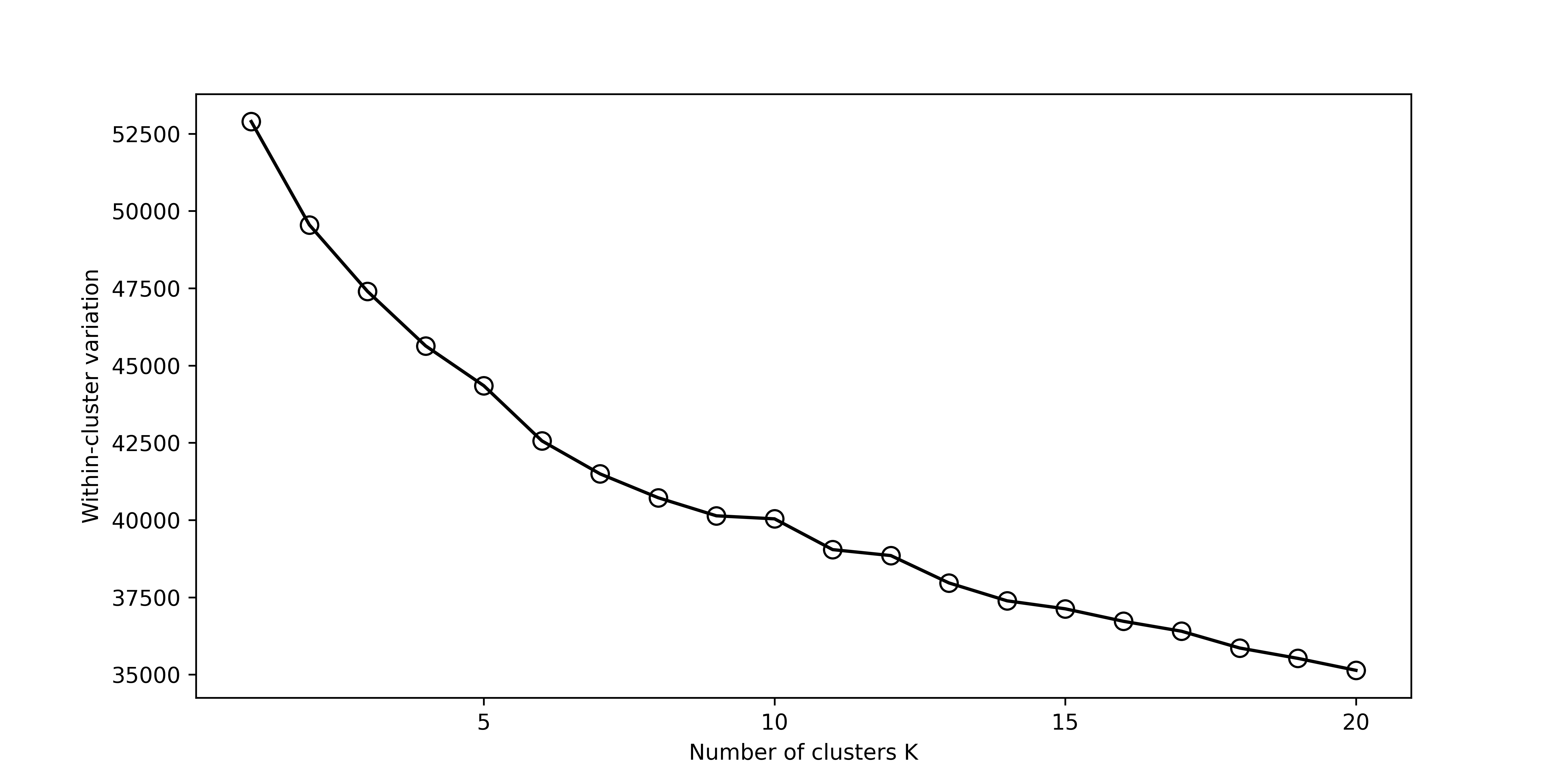
Elbow method MNIST I

wss <- rep(0, 20)
for (k in 1:20) {
  kmeans_out <- kmeans(x_train, centers = k)
  wss[k] <- kmeans_out$tot.withinss
}
Code
data.frame(k = 1:20, wss = wss) %>%
  ggplot(aes(x = k, y = wss)) +
  geom_line() +
  geom_point() +
  labs(x = 'Number of clusters K', y = 'Within-cluster variation')

Code
wss = np.zeros(20)
for k in range(1, 21):
    kmeans = KMeans(n_clusters=k)
    kmeans.fit(x_train);
    wss[k - 1] = kmeans.inertia_
KMeans(n_clusters=20)
In a Jupyter environment, please rerun this cell to show the HTML representation or trust the notebook.
On GitHub, the HTML representation is unable to render, please try loading this page with nbviewer.org.
Code
plt.plot(range(1, 21), wss,  marker='o', linestyle='-', mfc = 'none', color = 'black', markersize=8)
plt.xlabel('Number of clusters K')
plt.ylabel('Within-cluster variation')
plt.xticks(np.arange(5, 21, step=5));

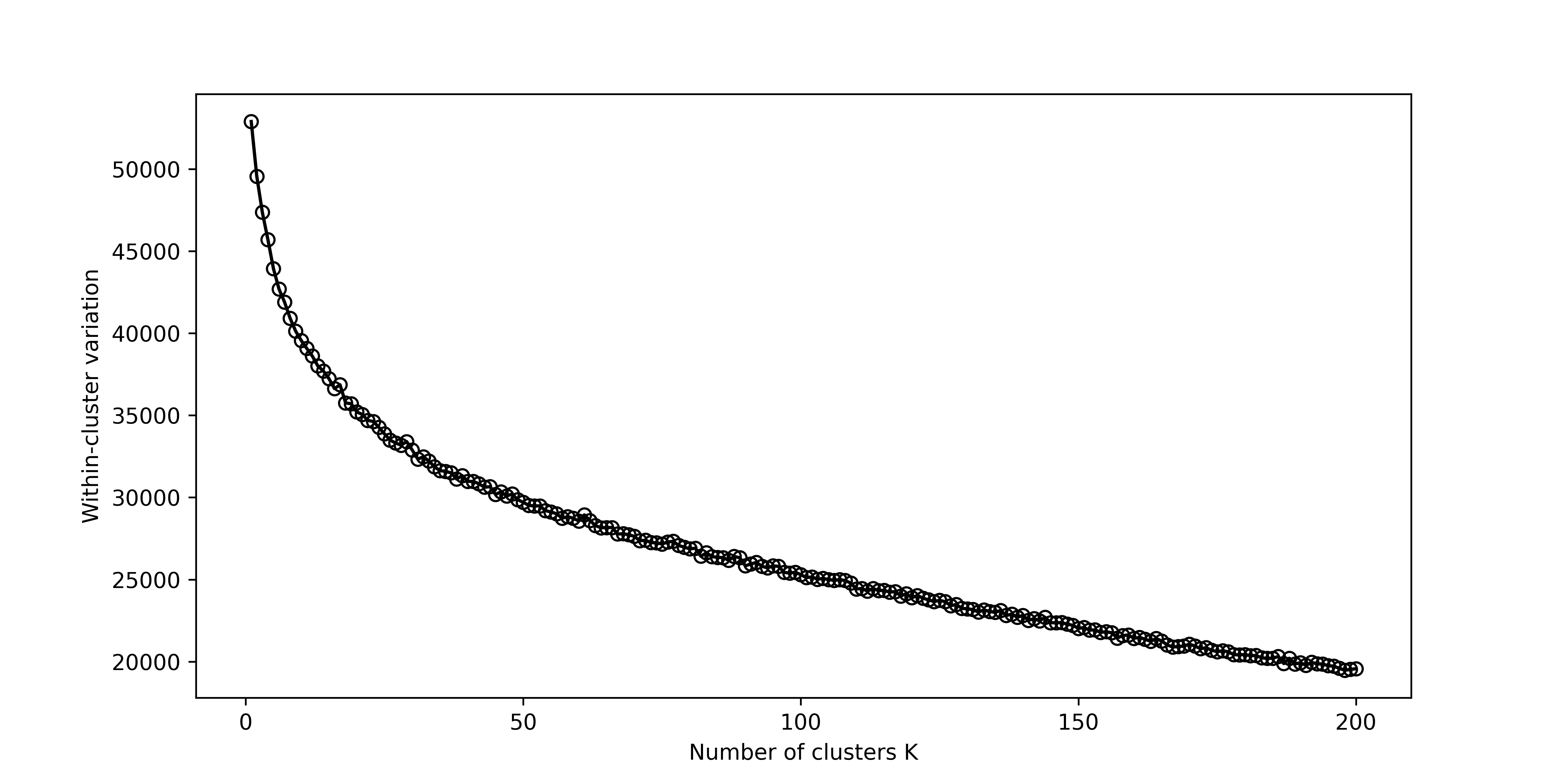
Elbow method MNIST II

wss <- rep(0, 200)
x_tiny_subset <- x_train[1:1000,]
for (k in 1:200) {
  kmeans_out <- kmeans(x_tiny_subset, centers = k)
  wss[k] <- kmeans_out$tot.withinss
}
Code
data.frame(k = 1:200, wss = wss) %>%
  ggplot(aes(x = k, y = wss)) +
  geom_line() +
  geom_point() +
  labs(x = 'Number of clusters K', y = 'Within-cluster variation')

Code
wss = np.zeros(200)
x_tiny_subset = x_train[:1000]
for k in range(1, 201):
    kmeans = KMeans(n_clusters=k)
    kmeans.fit(x_tiny_subset);
    wss[k - 1] = kmeans.inertia_
KMeans(n_clusters=200)
In a Jupyter environment, please rerun this cell to show the HTML representation or trust the notebook.
On GitHub, the HTML representation is unable to render, please try loading this page with nbviewer.org.
Code
plt.plot(range(1, 201), wss, marker='o', linestyle='-', mfc = 'none', color='black')
plt.xlabel('Number of clusters K')
plt.ylabel('Within-cluster variation')
plt.xticks(np.arange(0, 201, step=50));
plt.show()

Hierarchical Clustering

Lecture Outline

  • Unsupervised Learning

  • K-Means Clustering

  • Demo: MNIST

  • Hierarchical Clustering

  • Dimension Reduction

  • Demo: PCA on MNIST

Hierarchical Clustering

  • No need to specify the number of clusters K.
  • The user can choose their favourite distance metric (whereas K-means is restricted to Euclidean distance).
  • The result has a “tree-like” representation, called a dendrogram.
  • Here we cover “bottom-up” (aka agglomerative) clustering
    • start from the “leaves”
    • combine clusters on our way up to the “trunk”

Algorithm:

  1. At first, treat each of the n observations as its own cluster.
  2. For i = n, n-1, \dots, 2:
    1. Compute all pairwise inter-cluster dissimilarities among the i clusters
    2. Identify the pair of clusters that are least dissimilar and merge them (they now form one cluster)

Hierarchical Agglomerative Clustering

Example of agglomerative clustering (with single linkage).

Hierarchical Clustering: The dendrogram


Dendrogram

Clusters

Choose a max distance I


Cut at K = 2

K = 2 clusters

Choose a max distance II


Cut at K = 3

K = 3 clusters

Choose a max distance III


Cut at K = 4

K = 4 clusters

Choice of Dissimilarity Measure

  • Euclidean distance \sqrt{\sum_{j=1}^p (x_{ij} - x_{i'j})^2 }
  • Simple matching \dfrac{1}{p}\sum_{j=1}^p I(x_{ij} \neq x_{i'j})
  • Manhattan distance \sum_{j=1}^p |x_{ij} - x_{i'j}|
  • Combination of numerical and categorical (e.g., Gower’s distance)

Now, we also need a way to compute the dissimilarity between clusters with more than one data point.

Distance between clusters (linkage)

  • Complete
    • maximal inter-cluster dissimilarity
    • compute all pairwise dissimilarities between clusters A and B and take the largest.
  • Single
    • minimal inter-cluster dissimilarity
    • compute all pairwise dissimilarities between clusters A and B and take the smallest.
  • Average
    • mean inter-cluster dissimilarity
    • compute all pairwise dissimilarities between clusters A and B and take average.
  • Centroid
    • dissimilarity between the centroid of cluster A and the centroid of cluster B (recall the centroid is a “mean vector”, of length p)
    • inversions can occur

Same Data, Different Linkage

Average, complete, and single linkage applied to an example data set. Average and complete linkage tend to yield more balanced clusters.

Practical Issues

  • Should the observations / features be standardised in some way?
  • Hierarchical clustering
    • dissimilarity measure?
    • type of linkage?
    • where to cut the dendrogram (i.e., how many clusters is best)?
  • K-means clustering
    • how many clusters?
  • Validate the clusters obtained
    • does the clusters represent true subgroups in the data?
  • Robustness
    • Don’t rely on one single answer
    • Try different methods (ideally, many data sets) and check the consistency of findings

Dimension Reduction

Lecture Outline

  • Unsupervised Learning

  • K-Means Clustering

  • Demo: MNIST

  • Hierarchical Clustering

  • Dimension Reduction

  • Demo: PCA on MNIST

Can you memorise these in 60 secs?



112358132134


248163264128


371319293743

Dimension Reduction Motivation

  • Save space (“compress” our data).
  • Go from a large to a (relatively) small number of variables that can be used in supervised learning
    • the smaller size of p (i.e., dimension reduction) means we speed up any subsequent training algorithm
    • can still explain most of the variability in the original data set
    • new features are mutually uncorrelated
  • A tool for data visualisation

“… our brains are sort of bad at looking at columns of numbers, but absolutely ace at locating patterns and information in a two-dimensional field of vision” Jordan Ellenberg

  • Principal Component Analysis (PCA) is probably the most common “dimension reduction” method.

PCA Motivation: Data compression I

Code
set.seed(2)
x1 <- 1:10
x2 <- 1:10 + runif(n = 10)*4 

dataPCA <- data.frame(x1 = x1 - mean(x1), x2 = x2 - mean(x2), col = factor(1:10))

# Plot simple PCA
PCA0 <- ggplot(dataPCA) + geom_point(aes(x = x1, y = x2, colour = col),
                            shape = 16, size = 3) + 
  theme_bw() + 
  theme(axis.text=element_blank(),
      axis.ticks=element_blank(),
      legend.position = "none",
      panel.border = element_blank(),
      panel.grid = element_blank(),
      axis.line = element_line(arrow = arrow())) +
  coord_equal() +
  labs(x = expression("Math Skill - " * X[1]), y = expression("Math Enjoyment - " * X[2])) +
  xlim(-6,6) + ylim(-6,6)
PCA0

PCA Motivation: Data compression II

Code
pca.out <- prcomp(dataPCA[, 1:2])

PCA1 <- PCA0 + geom_segment(x=pca.out$rotation[1,1]*-8, 
                            y=pca.out$rotation[2,1]* -8, 
                            xend=pca.out$rotation[1,1]*8, 
                            yend=pca.out$rotation[2,1]*8, linewidth = 1.2,
                            arrow = arrow())
PCA1

PCA Motivation: Data compression III

Code
dataPCA <- dataPCA %>% mutate(z1 = pca.out$x[,1],
                              z2 = pca.out$x[,2],
                              proj1 = z1/sqrt(pca.out$rotation[1,1]^2 + 
                                                pca.out$rotation[2,1]^2)*pca.out$rotation[1,1],
                              proj2 = z1/sqrt(pca.out$rotation[1,1]^2 + 
                                                pca.out$rotation[2,1]^2)*pca.out$rotation[2,1])

(PCA2 <- PCA1 + geom_segment(data = dataPCA, aes(x = proj1, y= proj2, xend = x1, yend = x2)))

PCA Motivation: Data compression IV

Code
PROJ1 <- ggplot(dataPCA) + geom_point(aes(x = z1, y = 1, colour = col),
                             shape = 16, size = 3) + 
  theme_bw() + 
  theme(axis.text=element_blank(),
        axis.ticks=element_blank(),
        legend.position = "none",
        panel.border = element_blank(),
        panel.grid = element_blank(),
        axis.line.x = element_line(arrow = arrow()),
        axis.line.y = element_line(arrow = arrow(), colour = "white"),
        axis.title.y =  element_text(colour = "white")) +
  coord_equal() +
  labs(x = expression("Math Nerdiness - " * Z[1]), y = "asfdasf") + 
  ylim(0.5,1.5) + xlim(-1 -6*(pca.out$rotation[1,1] + pca.out$rotation[2,1]),
                        6*(pca.out$rotation[1,1] + pca.out$rotation[2,1]))

PROJ1

PCA Motivation: Data compression V

Reduce data from 2D to 1D

\boldsymbol{x}_1 \in \mathbb{R}^2 \rightarrow z_1 \in \mathbb{R} \boldsymbol{x}_2 \in \mathbb{R}^2 \rightarrow z_2 \in \mathbb{R} \vdots \boldsymbol{x}_n \in \mathbb{R}^2 \rightarrow z_n \in \mathbb{R}

Principal Components

  • The first principal component of a set of features X_1, X_2, \dots, X_p is the normalised linear combination of the features Z_1 = \phi_{11}X_1 + \phi_{21}X_2 + \dots + \phi_{p1}X_p, \qquad \sum_{j=1}^{p}\phi_{j1}^2=1 that has the largest possible variance. We find the values \phi_{11},\ldots, \phi_{p1} by maximising the sample variance of z_{i1} = \phi_{11}x_{i1} + \phi_{21}x_{i2} + \dots + \phi_{p1}x_{ip}, \quad i = 1, 2, \dots, n.

    \phi_{11}, \dots, \phi_{p1} loadings of the first principal component
    \phi_1 = (\phi_{11}, \dots, \phi_{p1})^T principal component loading vector
    z_{11}, \ldots z_{n1} scores of the first principal component
    \sum_{j=1}^{p}\phi_{j1}^2=1 constraint preventing an arbitrarily large variance

Geometry of the first Principal Component

  • The loading vector \phi_1 defines a direction in feature space along which the data points vary the most.
  • The projections of the n data points x_1, \dots, x_n onto this direction are the principal component scores z_{11}, \dots, z_{n1}.

Is PCA the same as linear regression? Why or why not?

Further Principal Components

  • The second principal component is the linear combination of X_1, \dots, X_p that has maximal variance and is uncorrelated with Z_1. We write the scores of the second principal compnonent as z_{i2} = \phi_{12}x_{i1} + \phi_{22}x_{i2} + \dots + \phi_{p2}x_{ip}, \quad i = 1, 2, \dots, n, where \phi_2 = (\phi_{12}, \dots, \phi_{p2})^T is the second principal component loading vector.
  • Etc… we can define up to \min(n-1,p) principal components.

Another Interpretation of PC

  • The first principal component loading vector is the line in p-dimensional space that is closest to the n observations (in terms of average squared Euclidean distances).
  • This interpretation extends beyond the first principal component
    • the first two principal components of a data set span the plane that is closest to the n observations (minimises the sum of squared distances from each point to the plane).
    • the first three principal components of a data set span the three-dimentional hyperplane that is closest to the n observations
    • etc.

2 principal component directions I

Ninety observations simulated in three dimensions. The observations are displayed in color for ease of visualisation. The first two principal component directions span the plane that best fits the data. The plane is positioned to minimize the sum of squared distances to each point.

2 principal component directions II

The first two principal component score vectors give the coordinates of the projection of the 90 observations onto the plane.

More on PCA

  • Scaling the variables
    • typically, we scale each variable to have standard deviation 1 (and mean 0) before performing PCA
    • may not be necessary if variables are measured in the same units
  • Uniqueness of the principal components
    • each principal component loading vector is unique up to a “sign flip”
  • The proportion of variance explained (PVE) of the mth principal component is given by \dfrac{\sum_{i=1}^{n}\left( \sum_{j=1}^{p}\phi_{jm}x_{ij} \right)^2}{\sum_{j=1}^{p}\sum_{i=1}^{n}x_{ij}^2} and can be used to judge if a PC is “important”.

How many principal components to use?

Left: a scree plot depicting the proportion of variance explained by each of the four principal components in the USArrests data. Right: the cumulative proportion of variance explained by the four principal components in the USArrests data.

Demo: PCA on MNIST

Lecture Outline

  • Unsupervised Learning

  • K-Means Clustering

  • Demo: MNIST

  • Hierarchical Clustering

  • Dimension Reduction

  • Demo: PCA on MNIST

PCA on MNIST (failed attempt)

pr_comp_train <- prcomp(x_train, scale = TRUE)
Error in prcomp.default(x_train, scale = TRUE): cannot rescale a constant/zero column to unit variance
# Calculate the column std devs
col_std_devs <- apply(x_train, 2, sd)
col_std_devs
          X0           X1           X2           X3           X4           X5 
0.0000000000 0.0000000000 0.0000000000 0.0000000000 0.0000000000 0.0000000000 
          X6           X7           X8           X9          X10          X11 
0.0000000000 0.0000000000 0.0000000000 0.0000000000 0.0000000000 0.0000000000 
         X12          X13          X14          X15          X16          X17 
0.0023975438 0.0052497943 0.0000000000 0.0000000000 0.0000000000 0.0000000000 
         X18          X19          X20          X21          X22          X23 
0.0000000000 0.0000000000 0.0000000000 0.0000000000 0.0000000000 0.0000000000 
         X24          X25          X26          X27          X28          X29 
0.0000000000 0.0000000000 0.0000000000 0.0000000000 0.0000000000 0.0000000000 
         X30          X31          X32          X33          X34          X35 
0.0000000000 0.0000000000 0.0000000000 0.0001653479 0.0036899614 0.0073450035 
         X36          X37          X38          X39          X40          X41 
0.0145456588 0.0161569550 0.0211853119 0.0213073459 0.0208507875 0.0195538213 
         X42          X43          X44          X45          X46          X47 
0.0229472506 0.0243856500 0.0230354157 0.0211948495 0.0151041369 0.0109502265 
         X48          X49          X50          X51          X52          X53 
0.0111429515 0.0074043871 0.0041586589 0.0040716909 0.0000000000 0.0000000000 
         X54          X55          X56          X57          X58          X59 
0.0000000000 0.0000000000 0.0000000000 0.0000000000 0.0013227829 0.0005993860 
         X60          X61          X62          X63          X64          X65 
0.0015278703 0.0021872664 0.0112660837 0.0184871514 0.0260346078 0.0377863192 
         X66          X67          X68          X69          X70          X71 
0.0498183412 0.0587993685 0.0742532063 0.0868722446 0.0970276068 0.1022444891 
         X72          X73          X74          X75          X76          X77 
0.1037216248 0.0990578542 0.0900078978 0.0784604962 0.0594138763 0.0439134399 
         X78          X79          X80          X81          X82          X83 
0.0300459465 0.0180031871 0.0103176705 0.0048264035 0.0000000000 0.0000000000 
         X84          X85          X86          X87          X88          X89 
0.0000000000 0.0000000000 0.0029231046 0.0021999693 0.0031267652 0.0144365906 
         X90          X91          X92          X93          X94          X95 
0.0235975549 0.0368763029 0.0549359698 0.0806558891 0.1034517834 0.1267004759 
         X96          X97          X98          X99         X100         X101 
0.1469704427 0.1675873509 0.1863016581 0.1961824643 0.1940990459 0.1855428973 
        X102         X103         X104         X105         X106         X107 
0.1684581828 0.1434625432 0.1117714885 0.0840251491 0.0548280039 0.0333565830 
        X108         X109         X110         X111         X112         X113 
0.0206945977 0.0074426467 0.0025008862 0.0000000000 0.0000000000 0.0007854023 
        X114         X115         X116         X117         X118         X119 
0.0016478346 0.0036612400 0.0134646244 0.0321374699 0.0509432444 0.0799278946 
        X120         X121         X122         X123         X124         X125 
0.1154464805 0.1546752411 0.1926360409 0.2317035218 0.2716569578 0.3044781100 
        X126         X127         X128         X129         X130         X131 
0.3263933611 0.3381289688 0.3365862528 0.3197426054 0.2898037773 0.2504506846 
        X132         X133         X134         X135         X136         X137 
0.2059416708 0.1583077694 0.1134893306 0.0769618832 0.0473984917 0.0211059585 
        X138         X139         X140         X141         X142         X143 
0.0084390051 0.0012194404 0.0000000000 0.0000000000 0.0027490173 0.0133068103 
        X144         X145         X146         X147         X148         X149 
0.0291276633 0.0620881177 0.1006346388 0.1441924235 0.1934205013 0.2433826935 
        X150         X151         X152         X153         X154         X155 
0.2903942851 0.3360084396 0.3754893488 0.4035445621 0.4192750570 0.4249493791 
        X156         X157         X158         X159         X160         X161 
0.4233785607 0.4126109454 0.3875876361 0.3495901855 0.2999739193 0.2438180847 
        X162         X163         X164         X165         X166         X167 
0.1876762872 0.1384792634 0.0895580027 0.0433301900 0.0164846678 0.0019401623 
        X168         X169         X170         X171         X172         X173 
0.0000000000 0.0001666326 0.0071571180 0.0244618116 0.0555749670 0.0978543977 
        X174         X175         X176         X177         X178         X179 
0.1479310557 0.2023519892 0.2596039048 0.3148712185 0.3613562652 0.3978357098 
        X180         X181         X182         X183         X184         X185 
0.4224877184 0.4347001797 0.4394597687 0.4404440128 0.4409606970 0.4394552790 
        X186         X187         X188         X189         X190         X191 
0.4301763159 0.4060930008 0.3649405640 0.3073326235 0.2444537453 0.1808659669 
        X192         X193         X194         X195         X196         X197 
0.1216325226 0.0680838340 0.0285387065 0.0060499030 0.0009714187 0.0066529077 
        X198         X199         X200         X201         X202         X203 
0.0169891609 0.0400054333 0.0803996621 0.1312795146 0.1887286962 0.2499743170 
        X204         X205         X206         X207         X208         X209 
0.3087726620 0.3605145561 0.3978098757 0.4217225766 0.4313450570 0.4329545487 
        X210         X211         X212         X213         X214         X215 
0.4329147120 0.4317660948 0.4328867362 0.4342455974 0.4356967650 0.4251924267 
        X216         X217         X218         X219         X220         X221 
0.3970977808 0.3457408707 0.2778748172 0.2068243574 0.1380788310 0.0813263153 
        X222         X223         X224         X225         X226         X227 
0.0329937120 0.0062020185 0.0040968161 0.0115332731 0.0315337009 0.0613238584 
        X228         X229         X230         X231         X232         X233 
0.1054949683 0.1583411928 0.2196369924 0.2847818441 0.3442461427 0.3916245948 
        X234         X235         X236         X237         X238         X239 
0.4204547295 0.4328375185 0.4351621434 0.4362825165 0.4357872490 0.4344851675 
        X240         X241         X242         X243         X244         X245 
0.4342518532 0.4350896826 0.4368101136 0.4321155666 0.4105216699 0.3642349234 
        X246         X247         X248         X249         X250         X251 
0.2951143612 0.2144756703 0.1411606250 0.0837463597 0.0339756111 0.0089925978 
        X252         X253         X254         X255         X256         X257 
0.0041720017 0.0158415532 0.0391098840 0.0747138798 0.1164589425 0.1711568555 
        X258         X259         X260         X261         X262         X263 
0.2358423662 0.3037281700 0.3655351386 0.4088147102 0.4309680325 0.4367113356 
        X264         X265         X266         X267         X268         X269 
0.4363649519 0.4319064084 0.4274618315 0.4262154544 0.4281986261 0.4331921096 
        X270         X271         X272         X273         X274         X275 
0.4353465615 0.4319409154 0.4099113532 0.3642885346 0.2934395167 0.2074562342 
        X276         X277         X278         X279         X280         X281 
0.1271976273 0.0690142930 0.0286450614 0.0085272950 0.0058466163 0.0179800177 
        X282         X283         X284         X285         X286         X287 
0.0405585003 0.0734343438 0.1168545046 0.1723342098 0.2418783946 0.3127238019 
        X288         X289         X290         X291         X292         X293 
0.3770363402 0.4166093232 0.4327740111 0.4341654968 0.4233518520 0.4081036588 
        X294         X295         X296         X297         X298         X299 
0.4032828213 0.4115321908 0.4204075713 0.4303675275 0.4331048373 0.4278002294 
        X300         X301         X302         X303         X304         X305 
0.4017905814 0.3527881867 0.2810933095 0.1943243365 0.1105542500 0.0553750184 
        X306         X307         X308         X309         X310         X311 
0.0245722049 0.0066431069 0.0033361055 0.0157001643 0.0351395547 0.0616190411 
        X312         X313         X314         X315         X316         X317 
0.1067187712 0.1672683599 0.2438265607 0.3222590618 0.3877509652 0.4225219322 
        X318         X319         X320         X321         X322         X323 
0.4316815281 0.4264816816 0.4073311151 0.3915075871 0.4023588809 0.4168865045 
        X324         X325         X326         X327         X328         X329 
0.4230625087 0.4312911943 0.4330271334 0.4236289963 0.3885603541 0.3338243393 
        X330         X331         X332         X333         X334         X335 
0.2704180761 0.1911699629 0.1037155061 0.0408090494 0.0194328456 0.0017400693 
        X336         X337         X338         X339         X340         X341 
0.0036269159 0.0093750333 0.0264666545 0.0514306440 0.0966865374 0.1667231726 
        X342         X343         X344         X345         X346         X347 
0.2524819313 0.3365365105 0.3979850830 0.4271159557 0.4317571623 0.4243491536 
        X348         X349         X350         X351         X352         X353 
0.4078521737 0.4031716033 0.4267092473 0.4342487174 0.4304302162 0.4350684398 
        X354         X355         X356         X357         X358         X359 
0.4361847444 0.4179091072 0.3728544714 0.3194488875 0.2627657572 0.1949262110 
        X360         X361         X362         X363         X364         X365 
0.1095524031 0.0345719068 0.0153911796 0.0034160062 0.0006613914 0.0078608042 
        X366         X367         X368         X369         X370         X371 
0.0204635838 0.0438785363 0.0946998643 0.1734312060 0.2672779695 0.3507841386 
        X372         X373         X374         X375         X376         X377 
0.4061152412 0.4293236579 0.4318550514 0.4241465517 0.4158638501 0.4261251847 
        X378         X379         X380         X381         X382         X383 
0.4462134012 0.4378142097 0.4311984075 0.4394967438 0.4375774957 0.4115354833 
        X384         X385         X386         X387         X388         X389 
0.3637641406 0.3167368049 0.2653261354 0.2032616122 0.1222290366 0.0409479179 
        X390         X391         X392         X393         X394         X395 
0.0152019234 0.0054097807 0.0023355384 0.0052285119 0.0130799227 0.0374799291 
        X396         X397         X398         X399         X400         X401 
0.0956686151 0.1873269285 0.2829103439 0.3610484407 0.4102569593 0.4289677146 
        X402         X403         X404         X405         X406         X407 
0.4301532847 0.4247911309 0.4233711651 0.4368619948 0.4456554430 0.4291513162 
        X408         X409         X410         X411         X412         X413 
0.4305949908 0.4405736497 0.4363075147 0.4089349511 0.3676239422 0.3236634532 
        X414         X415         X416         X417         X418         X419 
0.2727973143 0.2097172558 0.1286291381 0.0471448847 0.0147375407 0.0010765465 
        X420         X421         X422         X423         X424         X425 
0.0007782955 0.0046727192 0.0102152260 0.0379512740 0.1010350343 0.2030017470 
        X426         X427         X428         X429         X430         X431 
0.2951933967 0.3639068725 0.4062228957 0.4245518048 0.4256587376 0.4246870345 
        X432         X433         X434         X435         X436         X437 
0.4291160944 0.4414005502 0.4420727017 0.4292733791 0.4366878213 0.4415963698 
        X438         X439         X440         X441         X442         X443 
0.4309286353 0.4080562291 0.3727597853 0.3320994053 0.2779615218 0.2097512450 
        X444         X445         X446         X447         X448         X449 
0.1272463559 0.0539684815 0.0178885496 0.0033482941 0.0008267393 0.0029940784 
        X450         X451         X452         X453         X454         X455 
0.0138228271 0.0412221631 0.1104637534 0.2170135511 0.3023797339 0.3595832262 
        X456         X457         X458         X459         X460         X461 
0.3947447705 0.4122993593 0.4158493263 0.4206965885 0.4314989625 0.4427050272 
        X462         X463         X464         X465         X466         X467 
0.4417362276 0.4361954559 0.4402239838 0.4359127905 0.4250439053 0.4070645579 
        X468         X469         X470         X471         X472         X473 
0.3786829820 0.3338784508 0.2755223456 0.2026331396 0.1229471911 0.0579912547 
        X474         X475         X476         X477         X478         X479 
0.0200523894 0.0004133696 0.0000000000 0.0041281538 0.0179872028 0.0505789352 
        X480         X481         X482         X483         X484         X485 
0.1298555939 0.2297901036 0.3054559836 0.3532966185 0.3818870883 0.3972079631 
        X486         X487         X488         X489         X490         X491 
0.4047129993 0.4132523582 0.4254020668 0.4346824827 0.4392184656 0.4382369908 
        X492         X493         X494         X495         X496         X497 
0.4350850345 0.4300895149 0.4238421699 0.4093677407 0.3801320452 0.3297761773 
        X498         X499         X500         X501         X502         X503 
0.2644720521 0.1905565582 0.1168439057 0.0585376412 0.0206661228 0.0011590804 
        X504         X505         X506         X507         X508         X509 
0.0012416563 0.0042313652 0.0221883087 0.0649319505 0.1489302820 0.2419647509 
        X510         X511         X512         X513         X514         X515 
0.3121254470 0.3541330615 0.3776212774 0.3918440677 0.4020502183 0.4096388287 
        X516         X517         X518         X519         X520         X521 
0.4171205246 0.4281514022 0.4362249492 0.4352919931 0.4318112613 0.4314409311 
        X522         X523         X524         X525         X526         X527 
0.4273254218 0.4110290047 0.3739615302 0.3181696180 0.2516929918 0.1800180323 
        X528         X529         X530         X531         X532         X533 
0.1112411669 0.0581123002 0.0169972924 0.0047397932 0.0003100272 0.0051773681 
        X534         X535         X536         X537         X538         X539 
0.0301479215 0.0769465565 0.1615108012 0.2506643964 0.3199322639 0.3623965831 
        X540         X541         X542         X543         X544         X545 
0.3872562073 0.4024395307 0.4127264392 0.4196326032 0.4253076134 0.4325108270 
        X546         X547         X548         X549         X550         X551 
0.4367517599 0.4349395624 0.4333295906 0.4351565204 0.4271945888 0.4023701720 
        X552         X553         X554         X555         X556         X557 
0.3586358827 0.2992614174 0.2316994532 0.1621220753 0.1014334680 0.0541328336 
        X558         X559         X560         X561         X562         X563 
0.0184248328 0.0037731996 0.0000000000 0.0066814240 0.0296872868 0.0809702884 
        X564         X565         X566         X567         X568         X569 
0.1601866059 0.2456248000 0.3191662464 0.3706205155 0.4008114723 0.4180238575 
        X570         X571         X572         X573         X574         X575 
0.4274912471 0.4321569966 0.4354597571 0.4376282869 0.4366339483 0.4361008624 
        X576         X577         X578         X579         X580         X581 
0.4365117877 0.4327724352 0.4177101586 0.3829224294 0.3283560136 0.2643082056 
        X582         X583         X584         X585         X586         X587 
0.1978442060 0.1371406251 0.0889249988 0.0455137403 0.0170766780 0.0010334241 
        X588         X589         X590         X591         X592         X593 
0.0000000000 0.0056887471 0.0278403486 0.0713215698 0.1381258499 0.2212972415 
        X594         X595         X596         X597         X598         X599 
0.3013896862 0.3651928235 0.4048448513 0.4263843684 0.4363376889 0.4369197583 
        X600         X601         X602         X603         X604         X605 
0.4360963773 0.4333005181 0.4337352862 0.4351906629 0.4337374584 0.4209236777 
        X606         X607         X608         X609         X610         X611 
0.3904500771 0.3405633317 0.2791248592 0.2143460989 0.1572603537 0.1098940122 
        X612         X613         X614         X615         X616         X617 
0.0700950723 0.0336420839 0.0118081285 0.0000000000 0.0000000000 0.0001666326 
        X618         X619         X620         X621         X622         X623 
0.0210710335 0.0520055381 0.1036316627 0.1755203816 0.2547135682 0.3282561545 
        X624         X625         X626         X627         X628         X629 
0.3847969407 0.4199819466 0.4366818970 0.4422227789 0.4406946709 0.4396525612 
        X630         X631         X632         X633         X634         X635 
0.4398671320 0.4364909265 0.4202644159 0.3875919645 0.3388666995 0.2781557128 
        X636         X637         X638         X639         X640         X641 
0.2176858826 0.1623733490 0.1173758205 0.0820725002 0.0483444637 0.0184264589 
        X642         X643         X644         X645         X646         X647 
0.0057211268 0.0000000000 0.0000000000 0.0000000000 0.0112217186 0.0297570686 
        X648         X649         X650         X651         X652         X653 
0.0660743322 0.1161213649 0.1806824012 0.2532460299 0.3211018066 0.3748145765 
        X654         X655         X656         X657         X658         X659 
0.4097159069 0.4280422997 0.4336064421 0.4323575031 0.4230039642 0.4030340952 
        X660         X661         X662         X663         X664         X665 
0.3675682690 0.3190647081 0.2622722014 0.2061035144 0.1573877143 0.1148461140 
        X666         X667         X668         X669         X670         X671 
0.0805076591 0.0520468110 0.0310056458 0.0116517327 0.0039629731 0.0000000000 
        X672         X673         X674         X675         X676         X677 
0.0000000000 0.0000000000 0.0076144977 0.0173888799 0.0370082023 0.0653554911 
        X678         X679         X680         X681         X682         X683 
0.1075706479 0.1595612574 0.2148639938 0.2727706801 0.3182468147 0.3463647529 
        X684         X685         X686         X687         X688         X689 
0.3574259379 0.3560643082 0.3389324293 0.3077657829 0.2709015171 0.2300796285 
        X690         X691         X692         X693         X694         X695 
0.1860283342 0.1457015662 0.1084865799 0.0771752397 0.0515780249 0.0316404240 
        X696         X697         X698         X699         X700         X701 
0.0160654499 0.0081731020 0.0020593839 0.0000000000 0.0000000000 0.0000000000 
        X702         X703         X704         X705         X706         X707 
0.0009289242 0.0077364835 0.0178183397 0.0351419473 0.0634944771 0.0974766847 
        X708         X709         X710         X711         X712         X713 
0.1372418044 0.1727874420 0.2041750702 0.2224688351 0.2313550389 0.2298700409 
        X714         X715         X716         X717         X718         X719 
0.2149963608 0.1934191049 0.1729444505 0.1504885979 0.1238798906 0.0967324056 
        X720         X721         X722         X723         X724         X725 
0.0709899590 0.0492367765 0.0322442759 0.0188537849 0.0077086161 0.0031816969 
        X726         X727         X728         X729         X730         X731 
0.0021495221 0.0000000000 0.0000000000 0.0000000000 0.0000000000 0.0000000000 
        X732         X733         X734         X735         X736         X737 
0.0087394641 0.0196112451 0.0398514730 0.0616593210 0.0831733932 0.1023871467 
        X738         X739         X740         X741         X742         X743 
0.1203700365 0.1345978781 0.1392057277 0.1406063581 0.1305035652 0.1132680958 
        X744         X745         X746         X747         X748         X749 
0.0979993420 0.0847458710 0.0705027825 0.0553044058 0.0405982457 0.0264110547 
        X750         X751         X752         X753         X754         X755 
0.0149790253 0.0045307643 0.0000000000 0.0012194404 0.0000000000 0.0000000000 
        X756         X757         X758         X759         X760         X761 
0.0000000000 0.0000000000 0.0000000000 0.0000000000 0.0022150671 0.0085515203 
        X762         X763         X764         X765         X766         X767 
0.0119449865 0.0181448047 0.0181015629 0.0221735013 0.0277901909 0.0362742510 
        X768         X769         X770         X771         X772         X773 
0.0391687788 0.0425295650 0.0468867824 0.0434324116 0.0386096876 0.0334878510 
        X774         X775         X776         X777         X778         X779 
0.0264272255 0.0159713074 0.0132575854 0.0074380065 0.0062421598 0.0011987719 
        X780         X781         X782         X783 
0.0000000000 0.0000000000 0.0000000000 0.0000000000 
# Calculate the column std devs
col_std_devs = np.std(x_train, axis=0)
col_std_devs
array([0.        , 0.        , 0.        , 0.        , 0.        ,
       0.        , 0.        , 0.        , 0.        , 0.        ,
       0.        , 0.        , 0.        , 0.        , 0.        ,
       0.        , 0.        , 0.        , 0.        , 0.        ,
       0.        , 0.        , 0.        , 0.        , 0.        ,
       0.        , 0.        , 0.        , 0.        , 0.        ,
       0.        , 0.        , 0.        , 0.        , 0.        ,
       0.00632139, 0.        , 0.        , 0.        , 0.        ,
       0.        , 0.00471006, 0.03209272, 0.03160696, 0.01884881,
       0.04456476, 0.02154137, 0.00756088, 0.02702085, 0.00669324,
       0.        , 0.        , 0.        , 0.        , 0.        ,
       0.        , 0.        , 0.        , 0.        , 0.        ,
       0.        , 0.        , 0.01710494, 0.03160696, 0.02661873,
       0.05510879, 0.05450345, 0.05931561, 0.04863671, 0.08549198,
       0.10741047, 0.11400141, 0.11074189, 0.10932877, 0.08365742,
       0.05245761, 0.06270962, 0.04839488, 0.02379265, 0.00632139,
       0.0271448 , 0.02045156, 0.        , 0.        , 0.        ,
       0.        , 0.        , 0.        , 0.        , 0.00577117,
       0.04018833, 0.0475317 , 0.06717571, 0.09542121, 0.1172866 ,
       0.1326602 , 0.14192618, 0.15727922, 0.17698733, 0.19413856,
       0.20136337, 0.19530441, 0.16554901, 0.14571768, 0.11746599,
       0.08029755, 0.04447169, 0.0244046 , 0.02553347, 0.02379818,
       0.        , 0.        , 0.        , 0.        , 0.        ,
       0.00656929, 0.00655459, 0.04559703, 0.06879667, 0.08678023,
       0.12528062, 0.1684035 , 0.20054473, 0.2368673 , 0.27466526,
       0.30847638, 0.32736406, 0.33448038, 0.33900105, 0.31503969,
       0.29049059, 0.26078476, 0.22017518, 0.15598105, 0.12052318,
       0.08170073, 0.05018388, 0.02931361, 0.        , 0.        ,
       0.        , 0.        , 0.        , 0.01455365, 0.03951559,
       0.08060715, 0.11767611, 0.15020234, 0.18591748, 0.23488908,
       0.28291749, 0.33369558, 0.37076557, 0.40602963, 0.42472318,
       0.42954076, 0.42614594, 0.41963032, 0.40081935, 0.36864185,
       0.3133172 , 0.25574168, 0.19666616, 0.14096531, 0.0975862 ,
       0.06137734, 0.        , 0.        , 0.        , 0.        ,
       0.        , 0.04251863, 0.07955513, 0.11784335, 0.15438208,
       0.19966702, 0.25692918, 0.30765373, 0.35854544, 0.39953659,
       0.4268652 , 0.44002132, 0.43798439, 0.43810079, 0.44462634,
       0.44359873, 0.43428741, 0.41312875, 0.37855436, 0.32225983,
       0.24497018, 0.18651777, 0.1286197 , 0.06941716, 0.00148739,
       0.        , 0.        , 0.        , 0.01405165, 0.04329843,
       0.08316314, 0.12220062, 0.1958706 , 0.25097463, 0.30807203,
       0.35901591, 0.40279701, 0.4245412 , 0.43052727, 0.42907545,
       0.43296095, 0.43524142, 0.43237627, 0.43877196, 0.437274  ,
       0.42270895, 0.40531489, 0.35847083, 0.28094202, 0.1969408 ,
       0.13916466, 0.08819644, 0.0139584 , 0.        , 0.        ,
       0.        , 0.03582303, 0.07273479, 0.09887056, 0.1483185 ,
       0.21183447, 0.27821159, 0.33976125, 0.38635678, 0.4248203 ,
       0.43537696, 0.43548349, 0.43220226, 0.4350645 , 0.43583428,
       0.4341156 , 0.43393472, 0.43685591, 0.4251527 , 0.42005168,
       0.37958657, 0.30095363, 0.19131187, 0.12169742, 0.07804139,
       0.0170286 , 0.        , 0.        , 0.        , 0.03065764,
       0.06923245, 0.11089565, 0.16065397, 0.22535589, 0.29438402,
       0.36097261, 0.40956782, 0.43080713, 0.43870243, 0.43031281,
       0.43195262, 0.42486633, 0.42298901, 0.42659393, 0.43542706,
       0.4379478 , 0.43288453, 0.41466813, 0.37449193, 0.30477767,
       0.20430191, 0.11850108, 0.06290817, 0.00272688, 0.        ,
       0.        , 0.        , 0.02048843, 0.07276159, 0.10913294,
       0.16245558, 0.23893697, 0.31134657, 0.37838729, 0.41475112,
       0.43253241, 0.42911084, 0.42813896, 0.40398312, 0.39273926,
       0.40173905, 0.41578855, 0.42738294, 0.43213101, 0.42819755,
       0.39729331, 0.35478423, 0.29766405, 0.20898936, 0.10127237,
       0.04854295, 0.00099159, 0.        , 0.        , 0.        ,
       0.02178642, 0.06057097, 0.09217747, 0.16592649, 0.24492413,
       0.32839423, 0.38879821, 0.42059238, 0.43659809, 0.43150282,
       0.40965518, 0.3858331 , 0.39566996, 0.41195661, 0.4273496 ,
       0.43368373, 0.43361747, 0.4279557 , 0.37853231, 0.3284051 ,
       0.28086668, 0.20850073, 0.08788801, 0.04184626, 0.        ,
       0.        , 0.        , 0.        , 0.00237982, 0.03801724,
       0.07875916, 0.16905464, 0.25133786, 0.33609416, 0.38994536,
       0.42894532, 0.43894564, 0.42056849, 0.40279993, 0.39757374,
       0.41576869, 0.43401752, 0.43495665, 0.43841228, 0.43265986,
       0.41151659, 0.35869768, 0.3128902 , 0.26971618, 0.2140111 ,
       0.10436712, 0.03468962, 0.        , 0.        , 0.        ,
       0.        , 0.        , 0.03845491, 0.09539211, 0.17804007,
       0.26373664, 0.34529475, 0.39837988, 0.43601761, 0.44263179,
       0.42029338, 0.41610261, 0.42114307, 0.4393086 , 0.4387737 ,
       0.43035438, 0.43207914, 0.43840201, 0.40147432, 0.35235213,
       0.30723513, 0.27118421, 0.21412765, 0.12096702, 0.02827168,
       0.        , 0.        , 0.        , 0.        , 0.        ,
       0.02040602, 0.11062953, 0.18608279, 0.27081147, 0.35291778,
       0.40640852, 0.42859704, 0.42801721, 0.42691026, 0.42339514,
       0.43711525, 0.44568005, 0.43464572, 0.42646292, 0.43931709,
       0.4321966 , 0.40257852, 0.36666728, 0.32669606, 0.27650885,
       0.21719402, 0.12579285, 0.02693422, 0.        , 0.        ,
       0.        , 0.        , 0.        , 0.05628161, 0.1209559 ,
       0.20712795, 0.29269382, 0.36254235, 0.40468346, 0.41959646,
       0.42444973, 0.43129793, 0.43439108, 0.43926889, 0.44002337,
       0.42434805, 0.43150579, 0.44395702, 0.42525305, 0.39565276,
       0.3710153 , 0.33734366, 0.28084273, 0.20224602, 0.13196476,
       0.06072177, 0.02723402, 0.01053565, 0.        , 0.        ,
       0.00780878, 0.07050808, 0.13477738, 0.23050149, 0.30641081,
       0.35779202, 0.38875958, 0.41895785, 0.42233559, 0.42572083,
       0.43206811, 0.44035815, 0.44171571, 0.43530775, 0.43887727,
       0.43956203, 0.41660005, 0.39467921, 0.37035814, 0.33471491,
       0.2747054 , 0.20549548, 0.13002109, 0.06968553, 0.0442286 ,
       0.02169105, 0.        , 0.        , 0.00464369, 0.07756347,
       0.15877126, 0.25279079, 0.31454055, 0.35784455, 0.3809416 ,
       0.40144353, 0.40663051, 0.41241853, 0.42470234, 0.43362445,
       0.44163663, 0.44254793, 0.43944648, 0.43211477, 0.41738909,
       0.39492234, 0.36953941, 0.3317193 , 0.2626028 , 0.19201395,
       0.13238253, 0.06487699, 0.00720873, 0.00111554, 0.        ,
       0.        , 0.01684228, 0.08041132, 0.17250332, 0.26218738,
       0.3248206 , 0.3565772 , 0.37837721, 0.39325732, 0.40753051,
       0.41356328, 0.41508733, 0.42915652, 0.4377368 , 0.44214895,
       0.43181103, 0.43291154, 0.41808596, 0.40335883, 0.3707025 ,
       0.33061227, 0.25877329, 0.19474455, 0.11757695, 0.05599719,
       0.01834443, 0.        , 0.        , 0.        , 0.02471679,
       0.07774463, 0.17312389, 0.26261951, 0.33280211, 0.36512418,
       0.39278746, 0.40524247, 0.41941539, 0.42244945, 0.42990087,
       0.43183523, 0.442817  , 0.43678112, 0.42812915, 0.4307606 ,
       0.41439324, 0.3964843 , 0.36211405, 0.31375972, 0.24265572,
       0.1533867 , 0.08873031, 0.03609946, 0.        , 0.        ,
       0.        , 0.        , 0.01673491, 0.0878077 , 0.16304726,
       0.25137123, 0.3246157 , 0.3734039 , 0.41249505, 0.42235997,
       0.43254136, 0.43259603, 0.43415667, 0.43123241, 0.43842367,
       0.43184913, 0.43846301, 0.43380995, 0.40900249, 0.38154089,
       0.33292645, 0.27917957, 0.19386896, 0.11012857, 0.07221584,
       0.02042215, 0.        , 0.        , 0.        , 0.        ,
       0.01378692, 0.08132795, 0.15189211, 0.21438286, 0.28840979,
       0.36840071, 0.41004159, 0.42827406, 0.43113866, 0.43688584,
       0.43033746, 0.42712919, 0.43576115, 0.42755436, 0.43733179,
       0.42814368, 0.39151762, 0.34495823, 0.293887  , 0.23274446,
       0.16904924, 0.10652938, 0.07903019, 0.01650713, 0.        ,
       0.        , 0.        , 0.        , 0.03238282, 0.06049343,
       0.11717767, 0.16491966, 0.24545798, 0.32541922, 0.38356558,
       0.42085985, 0.43587465, 0.44668427, 0.44120495, 0.44284122,
       0.43889708, 0.43502263, 0.42820984, 0.40150819, 0.34295293,
       0.29524292, 0.24341204, 0.18979504, 0.13346593, 0.07845627,
       0.05541322, 0.02222853, 0.        , 0.        , 0.        ,
       0.        , 0.00522838, 0.03210987, 0.06110345, 0.09082982,
       0.16572395, 0.24606533, 0.30672635, 0.37861919, 0.41689056,
       0.42913179, 0.43672322, 0.43200321, 0.42842794, 0.41181975,
       0.38165377, 0.32733816, 0.26392393, 0.22245658, 0.1788245 ,
       0.12239288, 0.0802762 , 0.02949714, 0.03141965, 0.00966801,
       0.        , 0.        , 0.        , 0.        , 0.        ,
       0.        , 0.03472836, 0.05462183, 0.09760728, 0.14279819,
       0.20792451, 0.27632276, 0.32245713, 0.35391792, 0.36714246,
       0.35752738, 0.33836146, 0.3040463 , 0.27087976, 0.22000658,
       0.16771057, 0.15002924, 0.11684203, 0.07906187, 0.0494708 ,
       0.00123949, 0.        , 0.        , 0.        , 0.        ,
       0.        , 0.        , 0.        , 0.        , 0.02622224,
       0.04349002, 0.05739445, 0.09030618, 0.13443827, 0.1898996 ,
       0.20480971, 0.23124963, 0.23451802, 0.21877729, 0.20908306,
       0.19869266, 0.18366167, 0.15691439, 0.12366887, 0.08516472,
       0.06247883, 0.0306758 , 0.01016381, 0.        , 0.        ,
       0.        , 0.        , 0.        , 0.        , 0.        ,
       0.        , 0.00471006, 0.04329773, 0.02634197, 0.03002963,
       0.03968821, 0.08594586, 0.10335321, 0.11229515, 0.12650289,
       0.13894268, 0.12570129, 0.12727757, 0.12327982, 0.09066604,
       0.07668645, 0.07073178, 0.05674737, 0.03547014, 0.01319718,
       0.        , 0.        , 0.        , 0.        , 0.        ,
       0.        , 0.        , 0.        , 0.        , 0.        ,
       0.        , 0.        , 0.        , 0.00309872, 0.02540952,
       0.03123511, 0.00780964, 0.01165119, 0.02138761, 0.03160658,
       0.02340193, 0.04013821, 0.02528557, 0.00260293, 0.        ,
       0.        , 0.        , 0.        , 0.        , 0.        ,
       0.        , 0.        , 0.        , 0.        ])

PCA on MNIST

pr_comp_train <- prcomp(x_train)
pve <- pr_comp_train$sdev^2 / sum(pr_comp_train$sdev^2)
Code
# Do it again using ggplot
data.frame(pve) %>%
  ggplot(aes(x = 1:length(pve), y = pve)) +
  geom_point() +
  geom_line() +
  labs(x = 'Principal Component', y = 'Proportion of Variance Explained')

pca = PCA()
pr_out = pca.fit(x_train)
pve = (pr_out.explained_variance_ ** 2) / np.sum(pr_out.explained_variance_ ** 2)
Code
plt.figure(figsize=(8, 4)) 
plt.plot(pve, marker='o', linestyle = '', mfc = 'none', color='black')
plt.xlabel('Principal Component')
plt.ylabel('Proportion of Variance Explained')
plt.xticks(np.arange(0, 1000, step=200));

Scree plot

A scree

A scree plot is a line plot of the eigenvalues of principal components on the y-axis and the factors on the x-axis.

The scree plot is used to determine the number of factors to retain in a principal components analysis.

The point at which the line starts to level off is the number of factors to retain.

PCA on MNIST: Cumulative

cve <- cumsum(pve)
Code
data.frame(cve) %>%
  ggplot(aes(x = 1:length(cve), y = cve)) +
  geom_point() +
  geom_line() +
  labs(x = 'Principal Component', y = 'Cumulative Prop. Variance Explained')

Cumulative variance explained by principal components
cve = np.cumsum(pve)
Code
plt.figure(figsize=(8, 4))
plt.plot(cve, marker='o', linestyle = '', mfc = 'none', color='black')
plt.xlabel('Principal Component')
plt.ylabel('Cumulative Proportion of Variance Explained')
plt.xticks(np.arange(0, 1000, step=200));
plt.yticks(np.arange(0, 1, step=0.2));
plt.show()

Cumulative variance explained by principal components

Autoencoder

An autoencoder takes an observation, maps it to a latent space via an encoder module, then decodes it back to an output with the same dimensions via a decoder module.

Schematic of an autoencoder.

Code
# Perform PCA on non-zero variance columns
non_zero_var_cols <- which(col_std_devs != 0)
pca <- prcomp(x_train[, non_zero_var_cols], center = TRUE, scale. = TRUE)
pca_train_full <- predict(pca, newdata = x_train[, non_zero_var_cols])

indices <- c()
for (digit in 0:9) {
  for (i in seq_along(y_train)) {
    if (y_train[i] == digit) {
      indices <- c(indices, i)
      break
    }
  }
}

pca_autoencoder <- function(pca_train_full, num_components) {
  pca_train <- pca_train_full[, 1:num_components]
  
  # Inverse transform from the PCA reduced space back to the original space
  pca_reconstructed <- pca_train %*% t(pca$rotation[, 1:num_components])
  pca_reconstructed <- scale(pca_reconstructed, center = -pca$center, scale = FALSE)
  
  # Create a full reconstructed dataset with zero-variance columns
  pca_reconstructed_full <- matrix(0, nrow = nrow(x_train), ncol = 784)
  pca_reconstructed_full[, non_zero_var_cols] <- pca_reconstructed
  pca_reconstructed_full <- pmin(pmax(pca_reconstructed_full, 0), 1)
  pca_reconstructed_full
}

plot_reconstructions <- function(x_train, pca_reconstructed_full, indices) {
  par(mfrow = c(2, 5))
  for (index in indices[1:5]) {
    plot_digit(x_train[index, ])
  }
  for (index in indices[1:5]) {
    plot_digit(pca_reconstructed_full[index,])
  }
}

PCA on MNIST: Reconstructed with 400 PCs

Code
num_components <- 400
reconstructed <- pca_autoencoder(pca_train_full, num_components)
plot_reconstructions(x_train, reconstructed, indices[1:5])

PCA on MNIST: Reconstructed with 100 PCs

Code
num_components <- 100
reconstructed <- pca_autoencoder(pca_train_full, num_components)
plot_reconstructions(x_train, reconstructed, indices[1:5])

PCA on MNIST: Reconstructed with 25 PCs

Code
num_components <- 25
reconstructed <- pca_autoencoder(pca_train_full, num_components)
plot_reconstructions(x_train, reconstructed, indices[1:5])

PCA on MNIST: Reconstructed with 10 PCs

Code
num_components <- 10
reconstructed <- pca_autoencoder(pca_train_full, num_components)
plot_reconstructions(x_train, reconstructed, indices[1:5])

PCA on MNIST: Reconstructed with 5 PCs

Code
num_components <- 5
reconstructed <- pca_autoencoder(pca_train_full, num_components)
plot_reconstructions(x_train, reconstructed, indices[1:5])

PCA on MNIST: Reconstructed with 400 PCs II

Code
num_components <- 400
reconstructed <- pca_autoencoder(pca_train_full, num_components)
plot_reconstructions(x_train, reconstructed, indices[6:10])

PCA on MNIST: Reconstructed with 100 PCs II

Code
num_components <- 100
reconstructed <- pca_autoencoder(pca_train_full, num_components)
plot_reconstructions(x_train, reconstructed, indices[6:10])

PCA on MNIST: Reconstructed with 25 PCs II

Code
num_components <- 25
reconstructed <- pca_autoencoder(pca_train_full, num_components)
plot_reconstructions(x_train, reconstructed, indices[6:10])

PCA on MNIST: Reconstructed with 10 PCs II

Code
num_components <- 10
reconstructed <- pca_autoencoder(pca_train_full, num_components)
plot_reconstructions(x_train, reconstructed, indices[6:10])

PCA on MNIST: Reconstructed with 5 PCs II

Code
num_components <- 5
reconstructed <- pca_autoencoder(pca_train_full, num_components)
plot_reconstructions(x_train, reconstructed, indices[6:10])

Just pull out the 4s and the 7s

Code
# Pull out the 4s and 7s
idxs <- which(y_train %in% c(4,7))
y_train <- y_train[idxs] == 7
x_train <- x_train[idxs,]

# Prepare validation data
idxs_val <- which(y_val %in% c(4, 7))
y_val <- y_val[idxs_val] == 7
x_val <- x_val[idxs_val,]

# Prepare validation data
idxs_test <- which(y_test %in% c(4, 7))
y_test <- y_test[idxs_test] == 7
x_test <- x_test[idxs_test,]

col_std_devs <- apply(x_train, 2, sd)
pr_comp_train <- prcomp(x_train)

# Print the first 10 digits in x_train
par(mfrow = c(2,5))
for (i in 1:10) {
  plot_digit(x_train[i,])
}
Code
# Pull out the 4s and 7s
idxs = np.where(np.isin(y_train, [4, 7]))
y_train = y_train[idxs] == 7
x_train = x_train[idxs]

# Do the same for x_val, y_val, x_test, y_test
idxs_val = np.where(np.isin(y_val, [4, 7]))
y_val = y_val[idxs_val] == 7
x_val = x_val[idxs_val]

idxs_test = np.where(np.isin(y_test, [4, 7]))
y_test = y_test[idxs_test] == 7
x_test = x_test[idxs_test]

col_std_devs = np.std(x_train, axis=0)
pca = PCA()
pr_out = pca.fit(x_train)

Logistic regression on 4 vs 7

x_train_filtered <- as.data.frame(x_train[, col_std_devs > 0])
x_val_filtered <- as.data.frame(x_val[, col_std_devs > 0])
x_test_filtered <- as.data.frame(x_test[, col_std_devs > 0])

logistic_model_varying <- glm(y_train ~ ., data=x_train_filtered, family = binomial)
nrow(summary(logistic_model_varying)$coefficients)
[1] 629
logistic_model_varying = LogisticRegression(random_state=0, penalty=None).fit(x_train[:, col_std_devs >  0], y_train)
logistic_model_varying.coef_
array([[-3.44371486e-03, -5.06131406e-02, -4.10565964e-02,
        -3.85641140e-01, -4.31010687e-01, -8.31775010e-02,
        -4.72067017e-03, -6.98438318e-03, -1.98765062e-03,
        -9.46529212e-03, -7.97468380e-02, -2.87914640e-01,
        -5.53993674e-01, -5.12114662e-01, -5.63785968e-01,
        -6.75695417e-01, -6.10629193e-01, -3.15071690e-01,
        -1.35050965e-01, -1.91287560e-01, -1.58111693e-01,
        -6.46574919e-02, -7.57262708e-02, -5.29818750e-02,
        -6.34255828e-03, -2.41692053e-02, -2.79405385e-02,
        -8.23091298e-03,  8.25295700e-02,  3.63677709e-01,
         3.88197351e-01,  3.27761838e-01,  3.19613863e-01,
         5.43150460e-02, -1.81851980e-01,  2.35377642e-01,
        -3.91299881e-01, -6.34588103e-01, -7.15623537e-01,
        -8.06742986e-01, -6.76583636e-01, -4.66282210e-01,
        -2.17286884e-01, -1.22800888e-01, -6.37169584e-02,
        -6.14113522e-03, -9.25438667e-03,  8.67069547e-02,
         3.22695747e-01,  3.64158234e-01,  3.13114830e-01,
         3.35491327e-01,  3.18594590e-01,  2.15241890e-01,
         4.67925908e-01,  3.09473873e-01,  7.21797225e-02,
        -3.10541736e-01, -5.41588331e-01, -4.79496508e-01,
        -4.29546188e-01, -3.09058885e-01, -4.75791621e-01,
        -6.67135557e-01, -6.84975229e-01, -2.45811195e-01,
        -6.97224806e-02, -4.91403577e-03,  1.09170077e-02,
         2.02135548e-02, -3.98313366e-02, -4.06066502e-02,
         2.69923360e-01,  8.99337333e-02,  2.83298680e-01,
        -5.13736514e-03, -3.19113839e-01,  1.30935915e-01,
         6.40252634e-01,  5.33122475e-01,  5.00774514e-01,
         2.71010496e-01,  3.29978436e-02,  1.28453610e-01,
         3.90494956e-01, -5.08309125e-02, -3.80023387e-01,
        -2.45496186e-01, -5.61053843e-01, -2.65227616e-01,
        -7.77099305e-02, -1.18568814e-02,  4.38205661e-02,
         1.98759726e-01,  9.59260023e-02, -3.12102186e-02,
         1.86649422e-01,  7.56049106e-02,  5.42776807e-01,
         2.19631144e-01,  6.55048348e-02,  4.95259193e-01,
         4.65318490e-01,  5.76587125e-01,  9.22608755e-01,
         6.93742777e-01,  9.89654802e-01,  1.00235522e+00,
         5.60169794e-01, -8.99695851e-02, -2.21588406e-01,
        -1.06840321e-01, -2.88768665e-01, -1.74652952e-01,
        -5.98904933e-02, -7.78368618e-03,  3.43515616e-02,
         4.94050875e-01,  6.17639182e-01,  5.79207213e-01,
         8.16903580e-01,  4.10815266e-01,  4.49447403e-01,
         1.42606257e-01,  2.94603196e-01,  1.07798947e-01,
        -5.08142425e-02,  5.82551174e-01,  7.76678711e-01,
         9.13287714e-01,  1.10128970e+00,  8.37499422e-01,
         5.72953314e-01, -2.37120672e-01,  1.46792347e-02,
        -1.06256216e-01, -1.92522473e-01, -2.76577767e-01,
        -2.20288521e-01, -2.11769715e-02,  1.53826372e-02,
         3.71279741e-01,  6.17774858e-01,  7.21874391e-01,
         8.05797781e-01,  4.88789434e-01,  1.79057867e-01,
        -1.73157788e-01, -1.95450334e-01, -4.81382140e-01,
        -4.67344574e-01,  4.70965713e-01,  8.64618637e-01,
         1.12444311e+00,  1.05264359e+00,  3.93002782e-01,
         4.85341531e-01,  3.39100151e-01,  3.32681112e-01,
        -2.11557818e-01, -1.60451936e-01, -3.23384222e-01,
        -2.43668025e-01, -9.83460039e-02,  1.51626029e-02,
         1.20415157e-01,  1.01904922e-01,  3.35348461e-01,
         1.41077283e-01,  2.43966933e-01, -5.40311204e-02,
        -9.36063667e-01, -4.46096296e-01, -4.55445928e-01,
         3.46395391e-03,  1.05236767e+00,  1.26515215e+00,
         8.17443972e-01,  4.49564872e-01,  5.79322070e-01,
         7.73440173e-01,  5.68860268e-01,  3.15405894e-01,
         2.73094722e-01, -2.40614349e-01, -1.31936458e-01,
        -9.35318641e-02, -1.23792175e-01,  1.52842196e-03,
         3.57920785e-02,  7.57036169e-02,  2.74612191e-01,
        -2.81537005e-01,  7.34222564e-02, -1.91924126e-01,
        -1.01473266e+00, -9.26802919e-01, -5.99675668e-01,
        -3.44100229e-01,  1.23462131e-01, -1.45869908e-03,
        -1.80187445e-01,  4.06545875e-01,  3.98732003e-01,
         1.01203543e+00,  1.86644173e-01,  2.60630353e-01,
         1.00176562e-01, -6.94092765e-04,  1.54919345e-02,
        -1.27906458e-03, -6.87734291e-03,  1.68418590e-02,
         3.09423068e-01,  1.82964337e-01,  3.36634909e-01,
        -5.02394017e-02, -2.27761949e-01, -7.39432797e-01,
        -1.13471546e+00, -1.43358703e+00, -9.02240191e-01,
        -6.43276651e-01, -4.24776398e-01, -1.21330253e-01,
        -3.89921434e-01, -1.21721898e-01,  8.80677043e-01,
         2.81453721e-01,  3.01863718e-01,  3.30947280e-01,
         9.69713756e-02, -2.02749358e-02, -4.57246521e-02,
         6.63767356e-03,  1.68796988e-02, -3.06919709e-01,
        -4.89338348e-01, -7.17717100e-01, -9.23706391e-01,
        -9.45612640e-01, -1.13592347e+00, -1.45725682e+00,
        -1.60336217e+00, -1.68649415e+00, -9.28955642e-01,
        -6.68867637e-01, -7.27086288e-01, -1.62423244e-01,
         4.01296451e-01, -1.74198729e-01, -1.17714547e-01,
         7.09244207e-01,  7.47053361e-01,  4.98456846e-01,
        -1.13553094e-01, -1.83623551e-02, -3.03668835e-03,
        -4.88841551e-01, -4.95021302e-01, -5.06350202e-01,
        -8.16009600e-01, -1.01985497e+00, -8.96971759e-01,
        -7.70277120e-01, -1.17282684e+00, -1.34372632e+00,
        -8.87229350e-01, -4.28012272e-01, -2.16910418e-01,
         2.04183808e-01,  7.81080427e-01,  9.90227965e-01,
         4.69685114e-01,  4.01459877e-01,  8.08015830e-01,
         8.28142355e-01,  2.06175461e-01,  5.49445377e-02,
         3.06853752e-03, -3.00908209e-03, -4.70636900e-01,
        -4.38921647e-01, -1.01118574e-01, -2.86854217e-01,
        -5.21523346e-01, -4.36489262e-01, -5.04522764e-01,
        -8.24589051e-01, -6.20714333e-01, -4.36259116e-01,
        -7.71929463e-01, -1.08245625e+00, -6.25499465e-01,
         9.23119473e-01,  4.95819856e-01, -8.50328607e-02,
        -1.79909286e-01, -2.13616135e-01,  3.19574568e-01,
         8.18903658e-02, -1.16737525e-02,  4.49076198e-02,
        -8.55794006e-04, -4.24867969e-01, -5.01954415e-01,
        -1.45881426e-01, -7.14931522e-02, -1.24612036e-01,
        -8.22319923e-02, -1.89987808e-01, -2.25149207e-01,
        -4.97015949e-01, -6.77919837e-01, -4.83998928e-01,
        -8.61298747e-01, -1.82023780e-01,  4.98093674e-01,
        -3.51189085e-02, -3.00858984e-01, -4.58414932e-01,
        -2.19748119e-01,  2.84686549e-01, -8.70742752e-02,
        -4.91079832e-02,  1.47087140e-01, -4.23909691e-01,
        -5.39635795e-01, -4.41721524e-01, -8.82155056e-02,
        -1.29991893e-01, -4.96585745e-04,  1.91298450e-01,
        -1.35832565e-01, -1.17927845e-01,  2.70271056e-01,
        -3.57200536e-01, -5.55403966e-01, -2.77779786e-02,
        -1.09219591e-01, -6.42359275e-01, -5.36117176e-01,
        -3.32796965e-01, -1.12882084e-01,  1.31342370e-01,
        -2.07832363e-02, -1.18494320e-02, -4.94045127e-02,
        -4.68107050e-01, -3.35645612e-01, -2.75061741e-01,
        -1.84315986e-01,  2.30148312e-01,  2.32622073e-01,
         2.28127989e-01,  5.04280032e-01,  2.06076043e-01,
        -4.56676626e-01, -5.83446757e-01, -1.86791814e-01,
        -2.67722922e-01, -2.41560371e-01, -1.69234940e-01,
        -1.97681596e-01, -1.44735568e-01, -1.03319452e-01,
        -1.50015987e-01, -1.05862272e-01, -3.42812318e-01,
        -3.28387332e-01,  3.52190945e-02,  3.24435265e-02,
        -1.84394545e-02,  1.41920760e-01,  4.18236558e-02,
        -2.87601347e-01, -4.21981400e-01, -6.14566871e-01,
        -1.26072242e-02,  1.86642493e-01,  1.87871499e-01,
        -4.49688699e-02, -3.15700476e-01, -4.70168130e-01,
        -4.55517287e-01, -2.24429693e-01,  3.17227437e-03,
        -5.78480784e-02,  8.31450493e-02,  1.57896049e-01,
         1.68119615e-01,  1.44704731e-01, -2.32181579e-01,
         3.23114964e-02, -1.65348492e-01, -4.81768528e-02,
         2.22837560e-01,  2.20645907e-01,  3.02285660e-02,
         2.57290041e-01, -1.80624109e-01, -5.28628988e-01,
        -5.09455072e-01, -3.01092550e-01, -1.97431216e-02,
         5.73715454e-04,  4.78849227e-01,  5.77908370e-01,
         5.49406111e-01,  5.88599094e-01,  4.48041686e-01,
         4.52773737e-01,  2.25512979e-01,  4.69691710e-01,
         4.08193560e-01,  5.49618868e-01,  2.52396171e-02,
        -4.42147844e-02, -6.34786446e-02, -2.10073976e-01,
        -4.44571827e-01, -3.71321280e-01, -8.07027582e-02,
        -8.33406253e-03,  3.54108216e-02,  5.33533281e-01,
         6.13805303e-01,  3.70958661e-01,  5.06039613e-01,
         6.56105401e-01,  4.58605772e-01,  5.14118223e-01,
         5.21091522e-01,  1.22429245e-01,  5.23767298e-01,
        -5.62584897e-02, -2.34823981e-01, -1.27809600e-01,
        -9.96564871e-02, -9.02715119e-02, -3.25883791e-02,
        -2.07556426e-02, -4.26704013e-03,  1.72114636e-03,
         4.12655522e-02,  3.73797101e-01,  5.42173108e-01,
         7.65763786e-02,  4.83646151e-01,  4.94702488e-01,
         3.65434335e-01,  5.79848610e-01,  7.30011782e-01,
         2.73982163e-01,  4.25204999e-01,  2.63058991e-01,
         3.62179958e-01,  3.66192675e-02, -3.19994313e-02,
        -8.69652178e-02, -2.51441230e-02, -1.05530139e-02,
        -3.33362515e-04,  1.42711717e-02,  1.91733515e-02,
         3.62766231e-02,  4.93359956e-02, -8.23276379e-02,
        -1.25479182e-01,  2.43863943e-01,  6.98199054e-01,
         8.62824788e-01,  6.48933238e-01,  2.81726283e-01,
         3.45629116e-01,  3.21541088e-01,  8.23260442e-02,
         2.29530872e-02,  3.13806764e-02, -9.74177598e-03,
        -5.31087702e-03,  1.82871795e-02,  1.23348818e-02,
         1.18630091e-02,  2.05903684e-02,  1.21628465e-01,
         1.60572425e-01,  2.01539117e-01,  2.91040734e-01,
         2.43222585e-01,  3.51812130e-01,  3.82830393e-01,
         2.83961437e-01,  8.89264452e-02,  4.59230251e-02,
         5.08985612e-02,  2.79865276e-02,  6.45179694e-03,
         4.68784545e-03,  8.18057118e-04,  6.70806833e-03,
         8.24601543e-03,  2.10268801e-03,  3.87131349e-03,
         1.04261897e-02,  2.99938444e-02,  2.81283087e-02,
         4.58866790e-02,  1.62881533e-02,  1.67672164e-03]])

Logistic regression on first 50 PCs

pca_train <- as.data.frame(pr_comp_train$x[, 1:50])
logistic_model_pca <- glm(y_train ~ ., data=pca_train, family = binomial)
summary(logistic_model_pca)$coefficients
                Estimate Std. Error      z value     Pr(>|z|)
(Intercept)  1.198515947 0.21135576   5.67060924 1.422906e-08
PC1          3.647866454 0.19481760  18.72452246 3.124608e-78
PC2         -2.851327556 0.17512018 -16.28211881 1.322109e-59
PC3         -0.677184850 0.09516631  -7.11580437 1.112620e-12
PC4          1.637208408 0.12421894  13.18002196 1.143575e-39
PC5          0.077537401 0.12214106   0.63481847 5.255468e-01
PC6         -0.502354456 0.11548195  -4.35006906 1.360947e-05
PC7          0.792560391 0.11826262   6.70169838 2.060109e-11
PC8          0.351994691 0.11458539   3.07189847 2.127021e-03
PC9         -0.075791383 0.12492815  -0.60667978 5.440634e-01
PC10         0.008328826 0.14043146   0.05930884 9.527061e-01
PC11         0.128684822 0.14642117   0.87886762 3.794731e-01
PC12        -0.717080199 0.15831254  -4.52952237 5.911718e-06
PC13         0.278289184 0.16411883   1.69565667 8.995092e-02
PC14        -0.326632889 0.13879100  -2.35341547 1.860184e-02
PC15         1.260314977 0.22677140   5.55764509 2.734387e-08
PC16         0.517611645 0.19579969   2.64357748 8.203499e-03
PC17         0.203745210 0.17867643   1.14030267 2.541602e-01
PC18        -0.462318412 0.19603068  -2.35839822 1.835399e-02
PC19         1.687111767 0.21417667   7.87719665 3.348078e-15
PC20         0.464271371 0.19228580   2.41448599 1.575743e-02
PC21        -1.227411717 0.20335604  -6.03577694 1.581997e-09
PC22        -0.031785262 0.20788935  -0.15289510 8.784810e-01
PC23        -0.333466917 0.24870750  -1.34079960 1.799855e-01
PC24         0.331709788 0.21617545   1.53444707 1.249197e-01
PC25         0.626650997 0.25568504   2.45087077 1.425111e-02
PC26        -1.792752826 0.26452044  -6.77736968 1.223835e-11
PC27         0.471841396 0.23345342   2.02113724 4.326556e-02
PC28        -0.249239562 0.25586412  -0.97410906 3.300024e-01
PC29         0.991269359 0.23006621   4.30862643 1.642716e-05
PC30        -0.853862005 0.26247390  -3.25313109 1.141408e-03
PC31        -1.192374498 0.25172114  -4.73688668 2.170264e-06
PC32         0.486319978 0.28792777   1.68903464 9.121279e-02
PC33        -0.746747809 0.27508134  -2.71464359 6.634713e-03
PC34         0.184436366 0.28628786   0.64423398 5.194237e-01
PC35        -0.762210130 0.26286217  -2.89965700 3.735712e-03
PC36         0.491384339 0.29200836   1.68277492 9.241867e-02
PC37        -0.861588987 0.28665695  -3.00564484 2.650183e-03
PC38         0.069090777 0.31310575   0.22066276 8.253550e-01
PC39         0.331016384 0.29757616   1.11237535 2.659768e-01
PC40         0.442420067 0.31078038   1.42357787 1.545687e-01
PC41        -1.064491450 0.31896066  -3.33737542 8.457363e-04
PC42         1.334134332 0.33253726   4.01198455 6.021044e-05
PC43         0.434922210 0.34397461   1.26440207 2.060857e-01
PC44         1.554630008 0.33352244   4.66124567 3.143013e-06
PC45         0.642598732 0.31020298   2.07154271 3.830811e-02
PC46         0.072133706 0.33629020   0.21449839 8.301584e-01
PC47        -0.226714454 0.35323387  -0.64182535 5.209866e-01
PC48         0.095129357 0.34666329   0.27441428 7.837663e-01
PC49        -1.167863645 0.35342292  -3.30443662 9.516749e-04
PC50        -0.346077437 0.37424065  -0.92474572 3.550982e-01
pr_out = pca.fit_transform(x_train)
logistic_model_pca = LogisticRegression(random_state=0, penalty=None).fit(pr_out[:, :50], y_train)
logistic_model_pca.coef_
array([[-6.0753918 ,  3.98708715,  2.05197569, -2.74121417,  0.86832373,
        -0.4540733 ,  1.6488431 ,  1.66139935,  0.96397812, -1.11779385,
         0.69926109, -0.04299947, -1.29184418, -1.08957067, -2.13875871,
        -1.59027548,  0.56780922,  0.87858239, -0.23114992,  3.67962549,
         1.38612478,  0.15315765, -0.23185715, -1.9792099 , -0.11281676,
         1.2829825 , -2.10826642,  1.70570471, -2.72183216, -1.87313151,
        -1.42228006,  0.10093863, -3.5761485 , -0.11095522,  0.07648331,
        -2.9476521 ,  2.27404433, -1.35848294, -2.50330241, -0.6200639 ,
         0.97699899, -1.74761916, -2.11271925, -1.05139496,  0.24505012,
         0.48072199, -1.31626291,  1.32579875, -0.90546252, -2.30792921]])

Compare models on validation accuracy

# Perform PCA on the validation set using the same rotation from the training set
pca_val <- as.data.frame(predict(pr_comp_train, newdata = x_val)[, 1:50])

# Calculate accuracy on validation data
y_pred <- predict(logistic_model_varying, x_val_filtered, type = "response") > 0.5
accuracy_varying <- mean(y_pred == y_val)
y_pred <- predict(logistic_model_pca, pca_val, type = "response") > 0.5
accuracy_pca <- mean(y_pred == y_val)

c(accuracy_varying, accuracy_pca)
[1] 0.9641089 0.9847360
# Calculate accuracy on x_val/y_val
accuracy_varying = np.mean(logistic_model_varying.predict(x_val[:, col_std_devs > 0]) == y_val)
accuracy_pca = logistic_model_pca.score(pca.transform(x_val)[:, :50], y_val)
accuracy_varying, accuracy_pca
(np.float64(0.9767631471667346), 0.9714635140644109)

Compression

“A photograph, which used to be a pattern of pigment on a sheet of chemically coated paper, is now a string of numbers, each one representing the brightness and color of a pixel. An image captured on a 4-megapixel camera is a list of 4 million numbers-no small commitment of memory for the device shooting the picture. But these numbers are highly correlated with each other. If one pixel is bright green, the next one over is likely to be as well. The actual information contained in the image is much less than 4 million numbers’ worth-and it’s precisely this fact that makes it possible to have compression, the critical mathematical technology that allows images, videos, music, and text to be stored in much smaller spaces than you’d think.” Jordan Ellenberg

References

Géron, A. (2022). Hands-on machine learning with Scikit-Learn, Keras, and TensorFlow (3rd ed.). O’Reilly Media.
James, G., Witten, D., Hastie, T., & Tibshirani, R. (2021). An Introduction to Statistical Learning: with Applications in R. Springer.